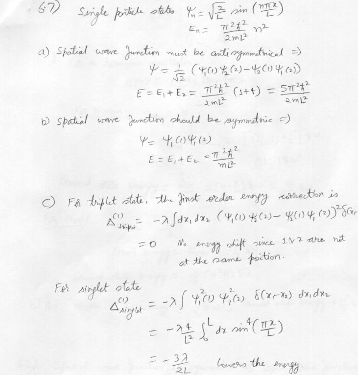
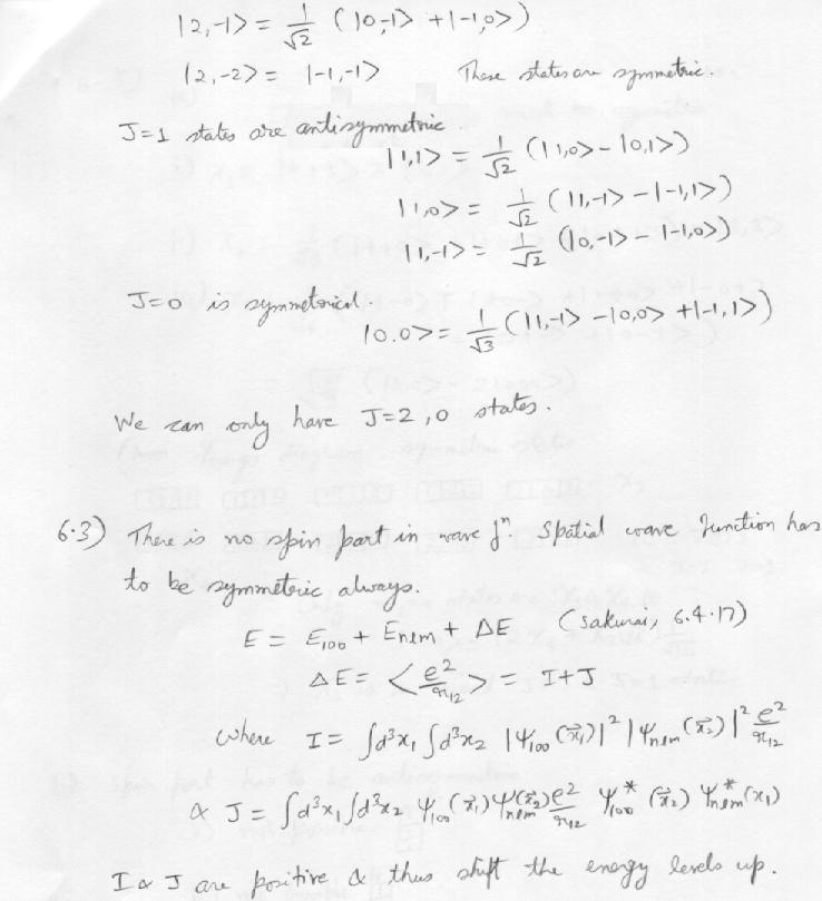
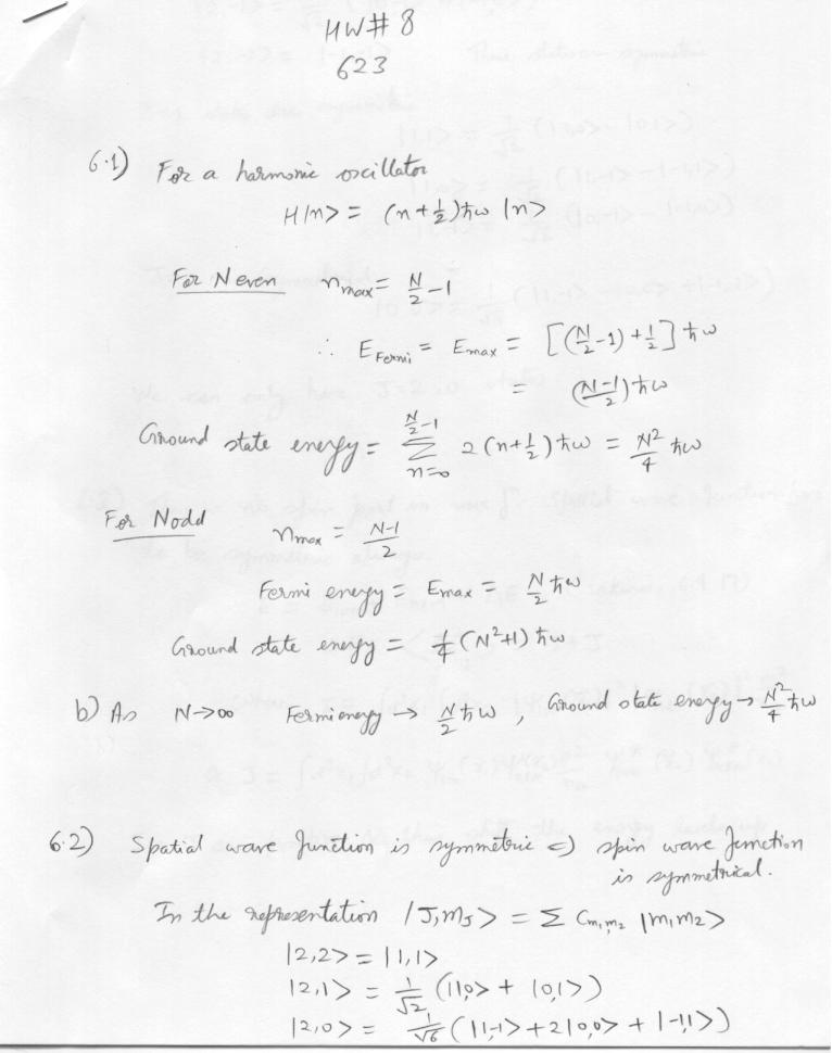
Homework solutions, Problem set #7 :