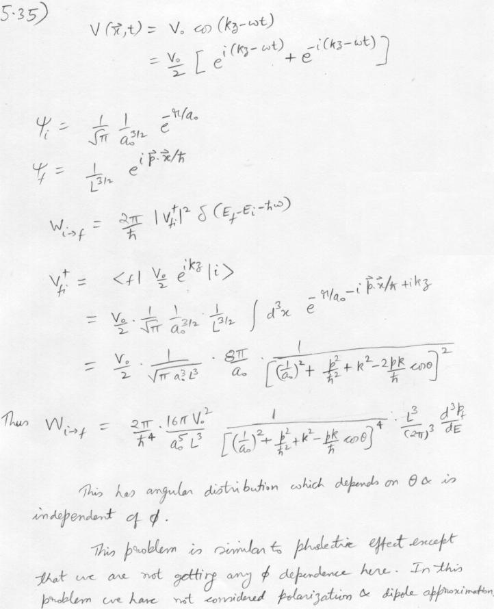
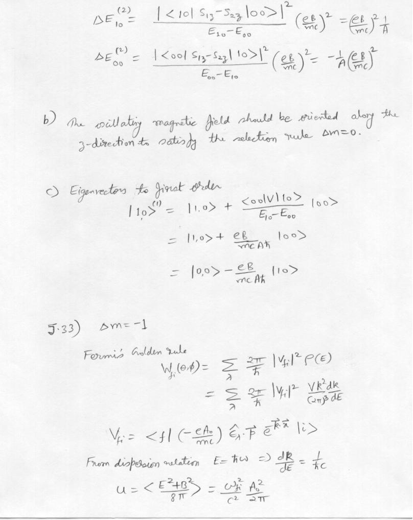
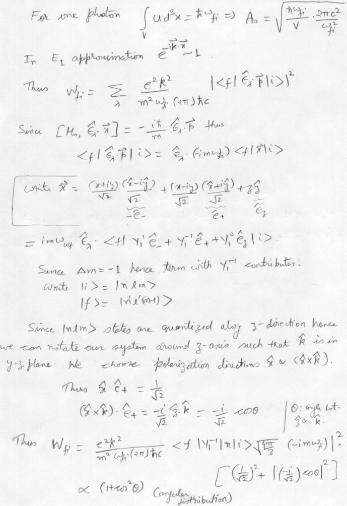
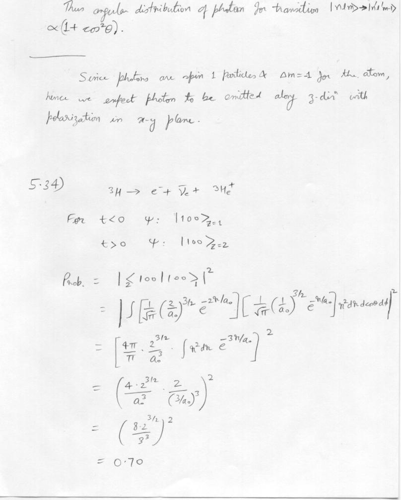
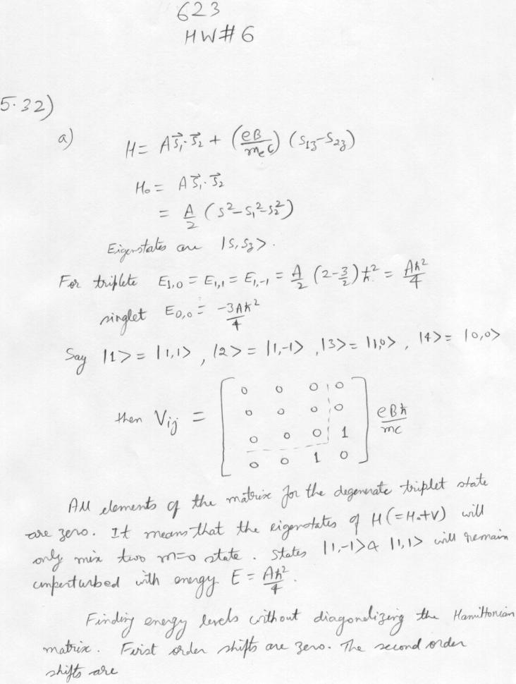
Homework solutions, Problem set #6 :