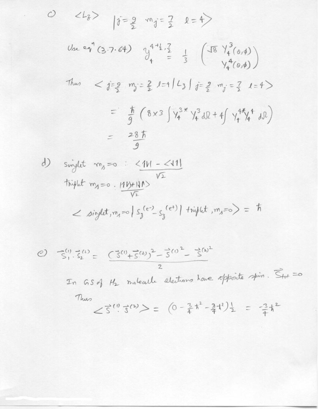
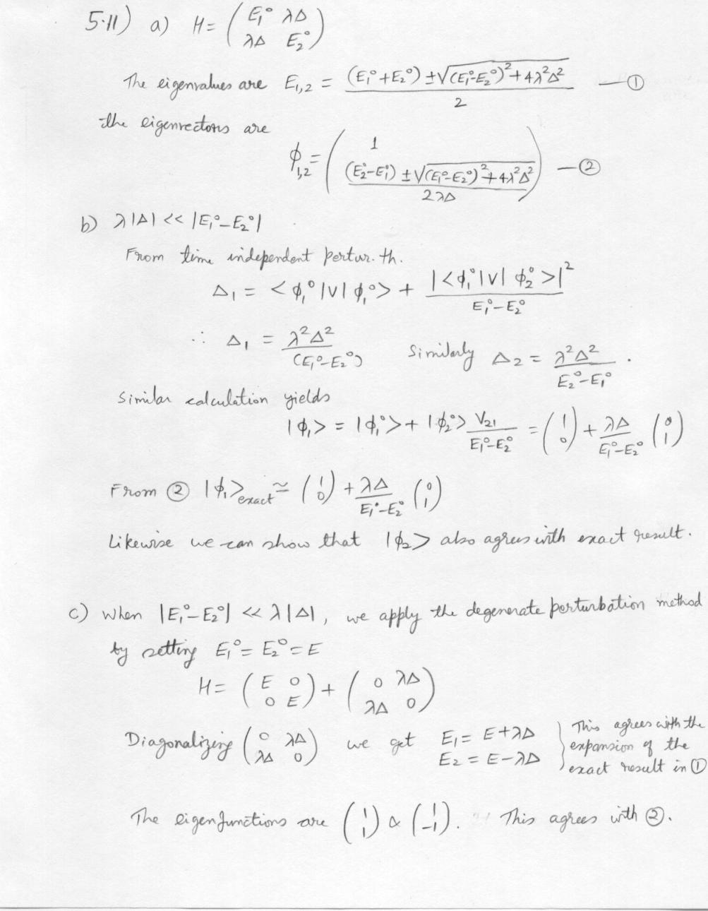
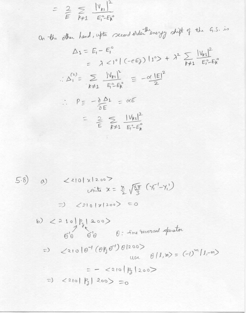
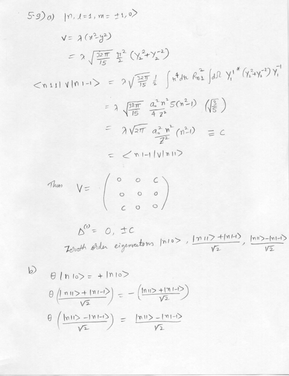
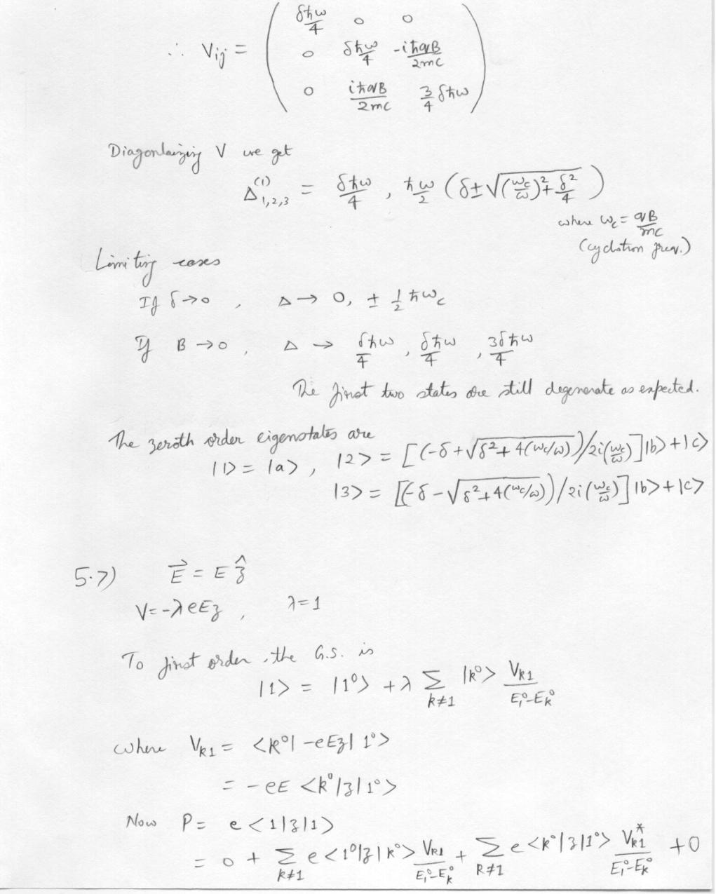
Homework_solutions, Problem set #2 :