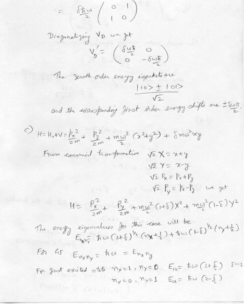
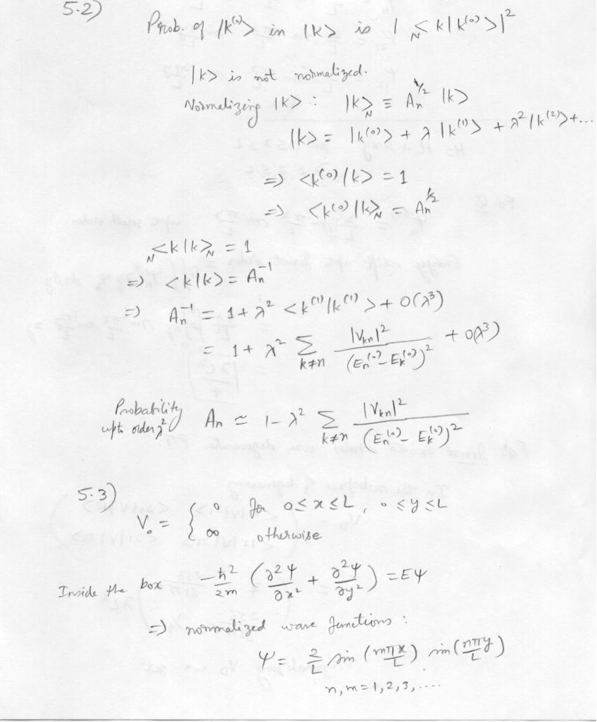
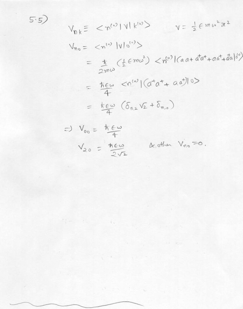
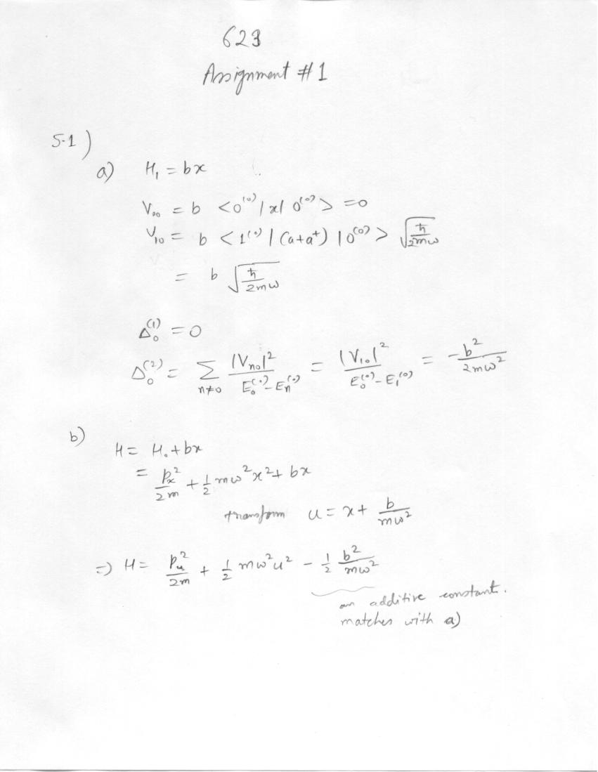
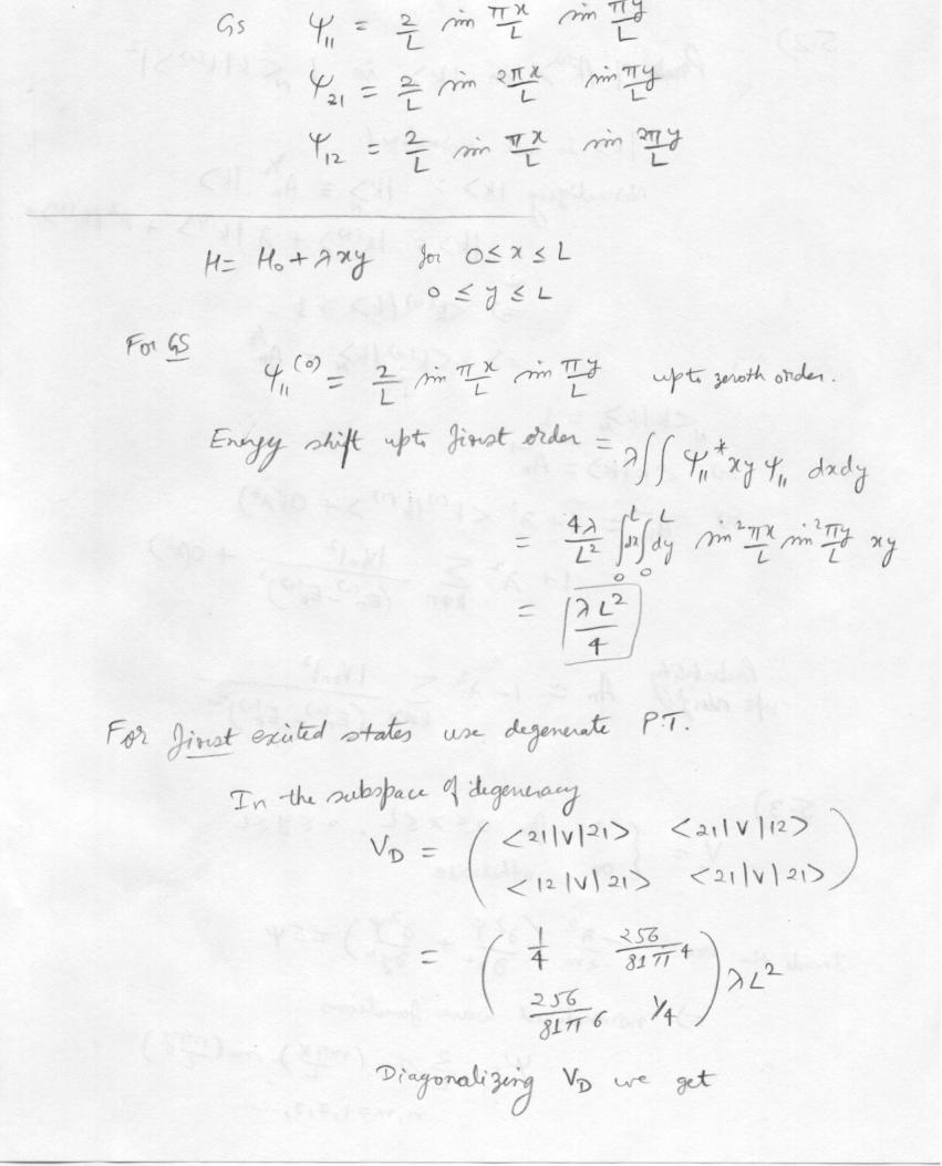
Homework_solutions, Problem set #1 :