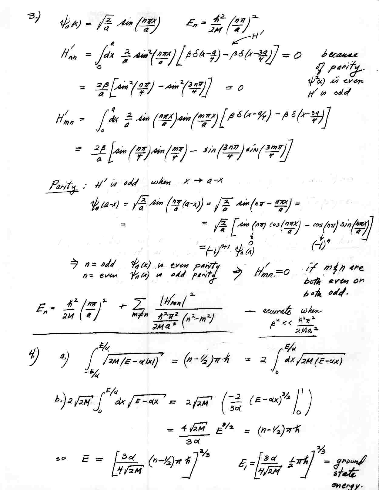
Midterm Exam 2 Solution (followed by copy of exam)