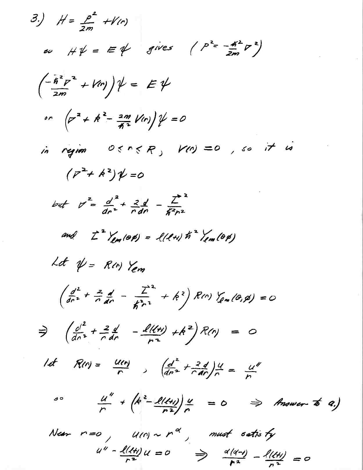
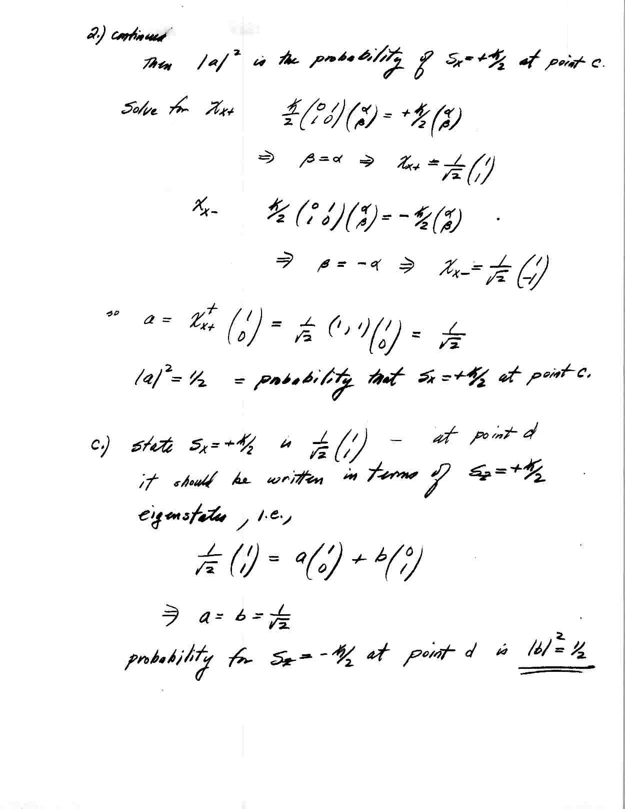
Midterm Exam Solution (followed by copy of exam)