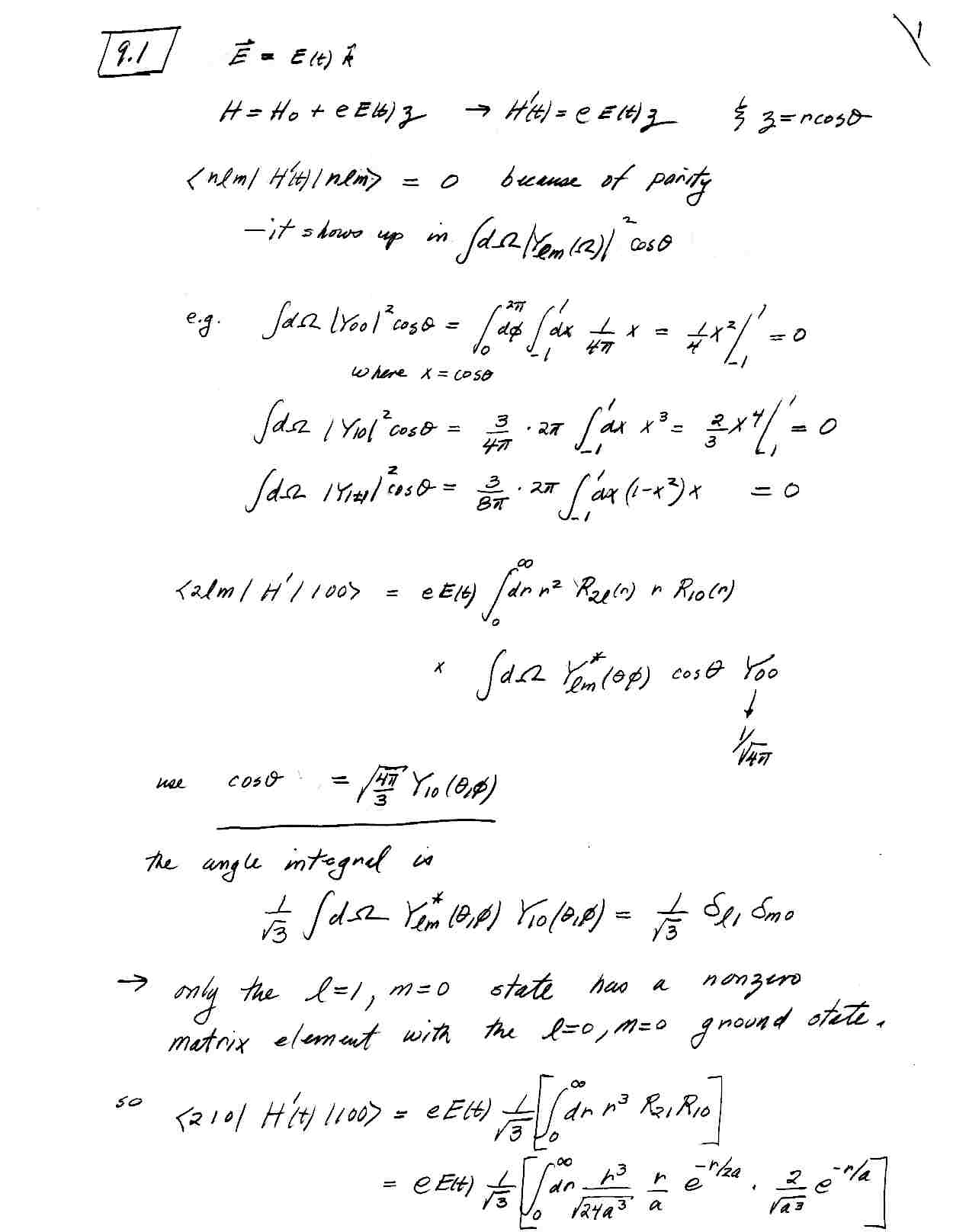
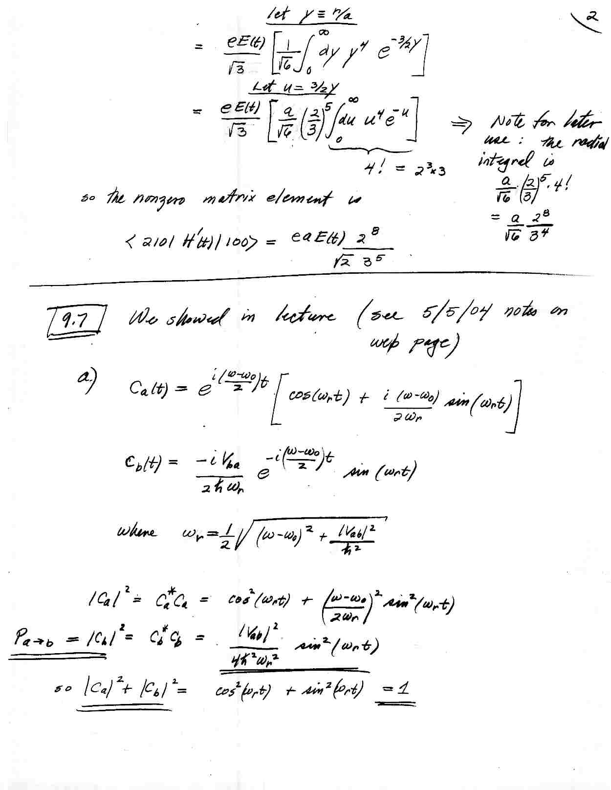
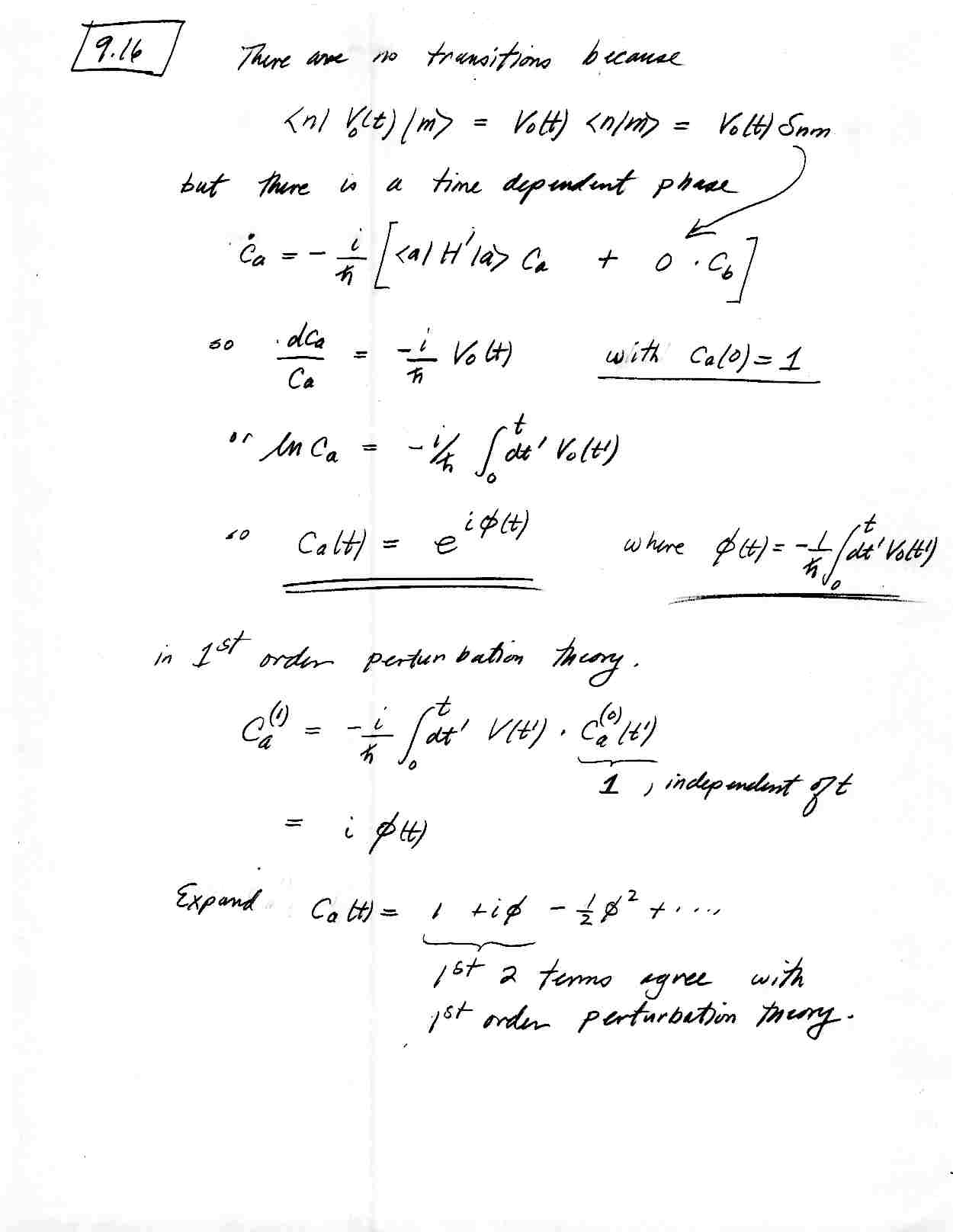
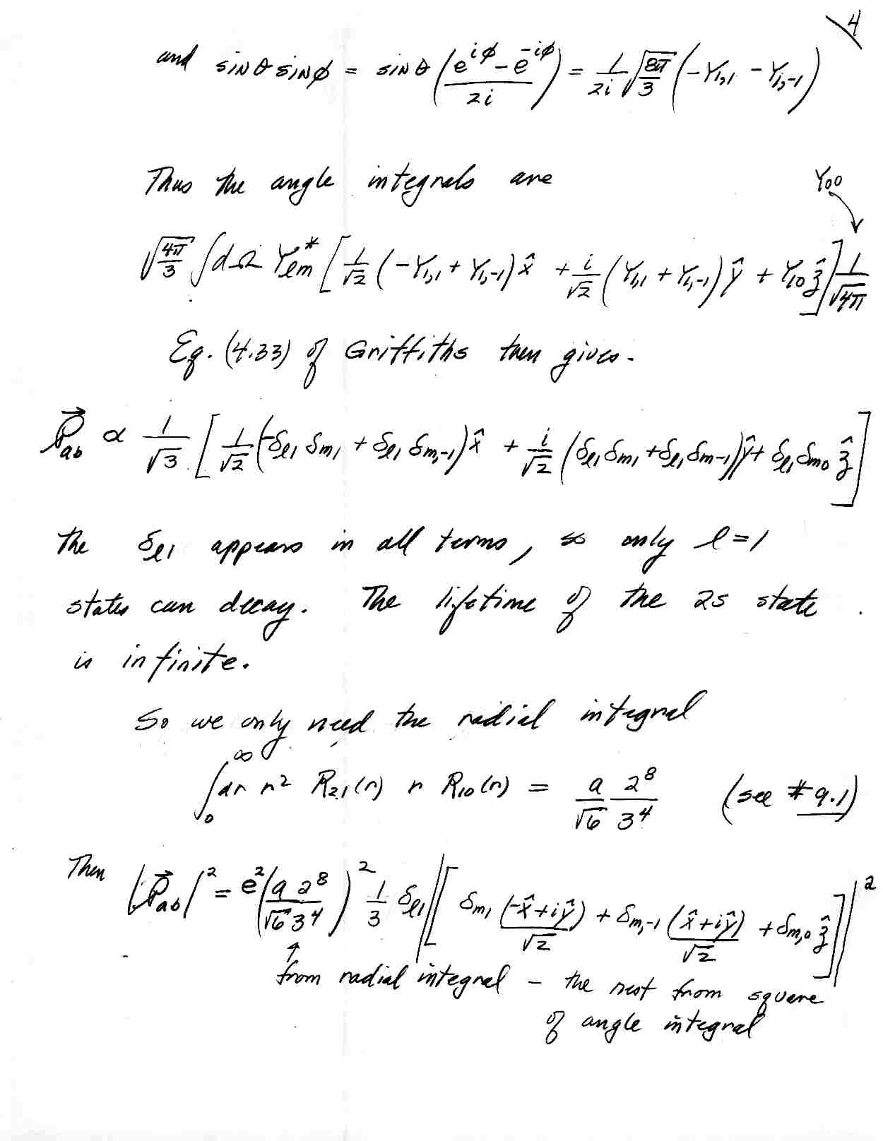
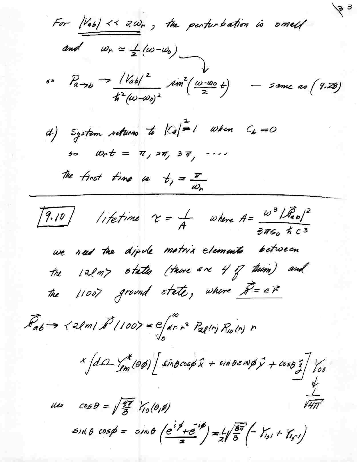
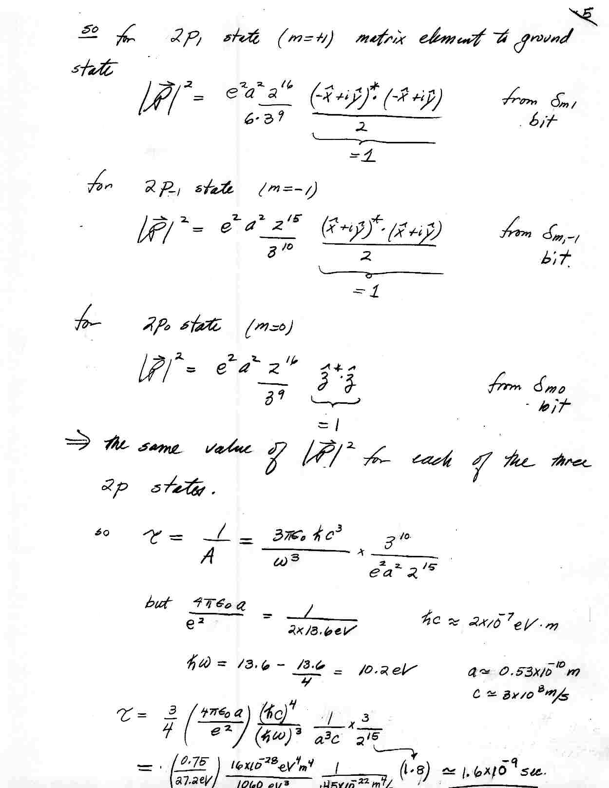
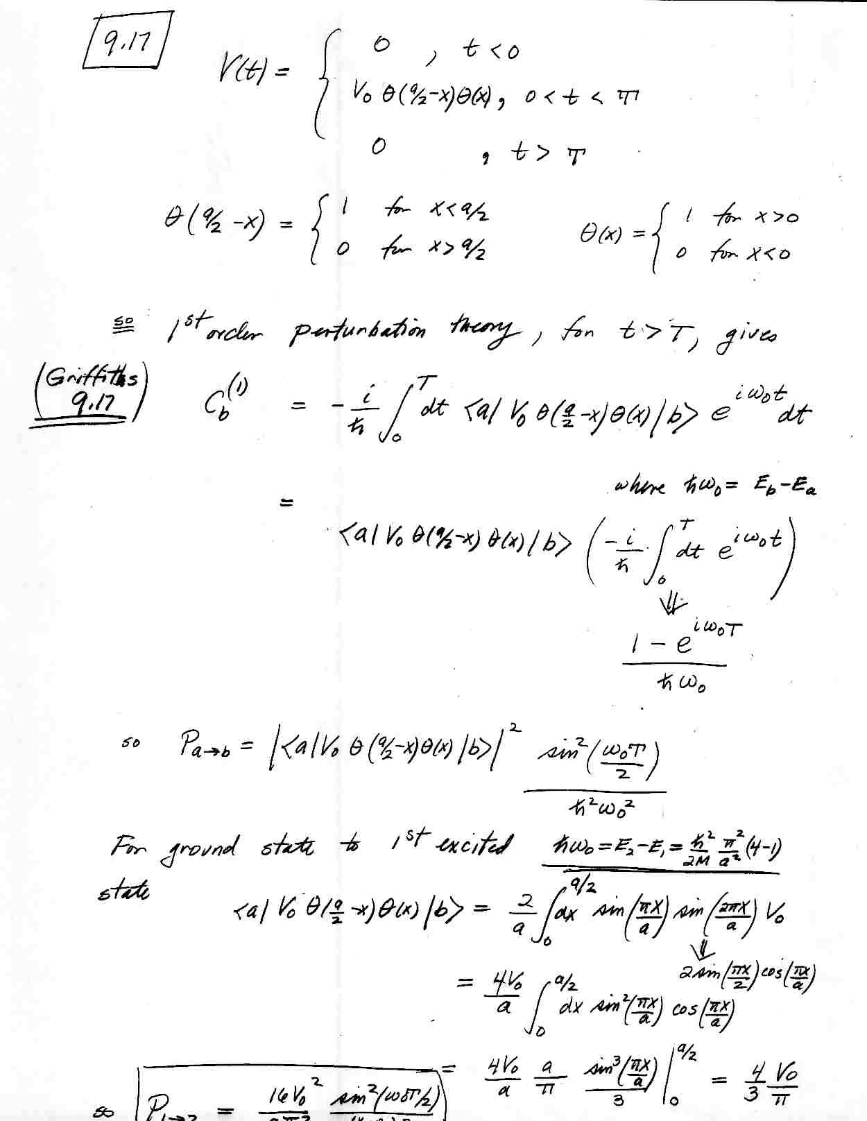
Homework Problems 9.1, 9.7, 9.10, 9.16 and 9.17