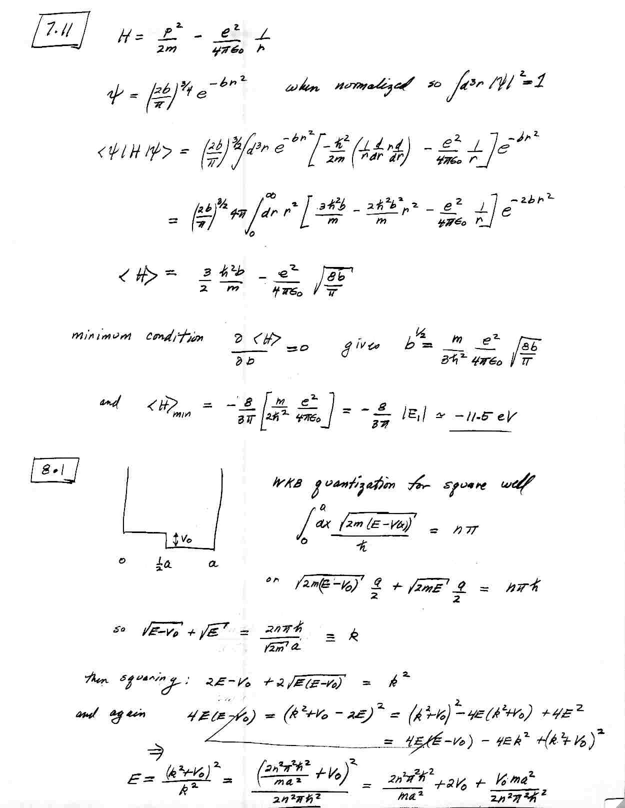
Homework Problems 7.1, 7.11, 8.1, 8.3 and 8.7