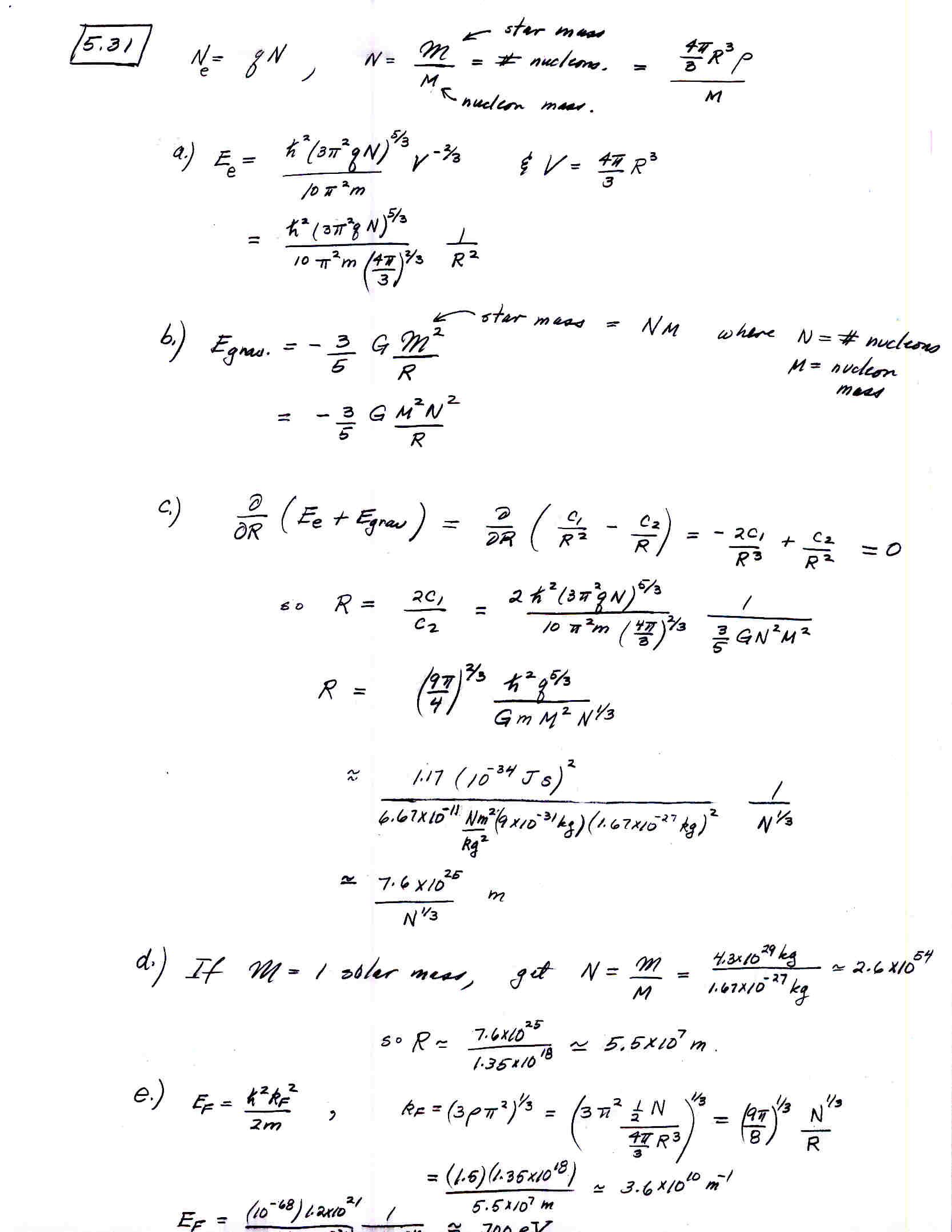
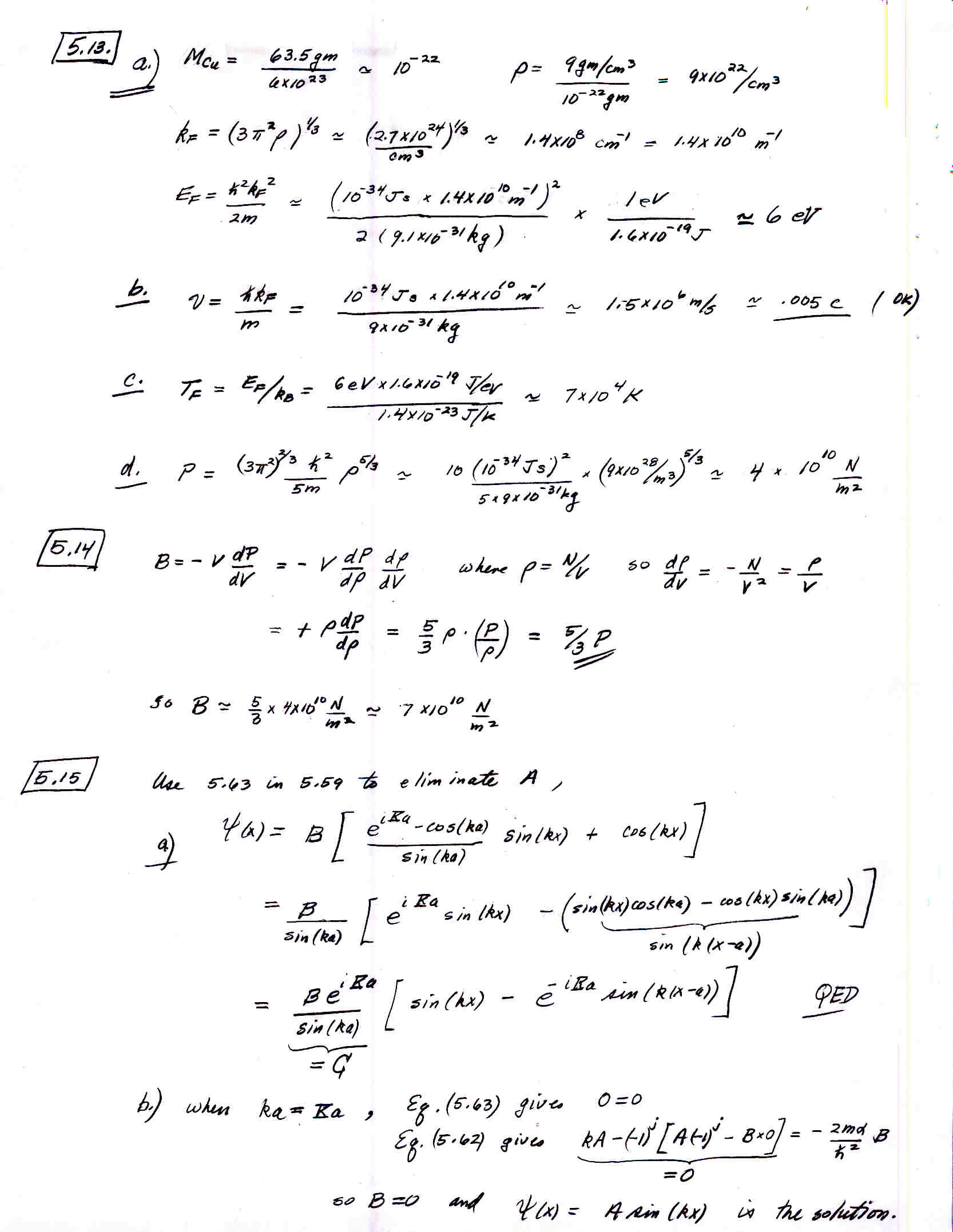
Homework Problems 5.13, 5.14, 5.15, 5.16 and 5.31