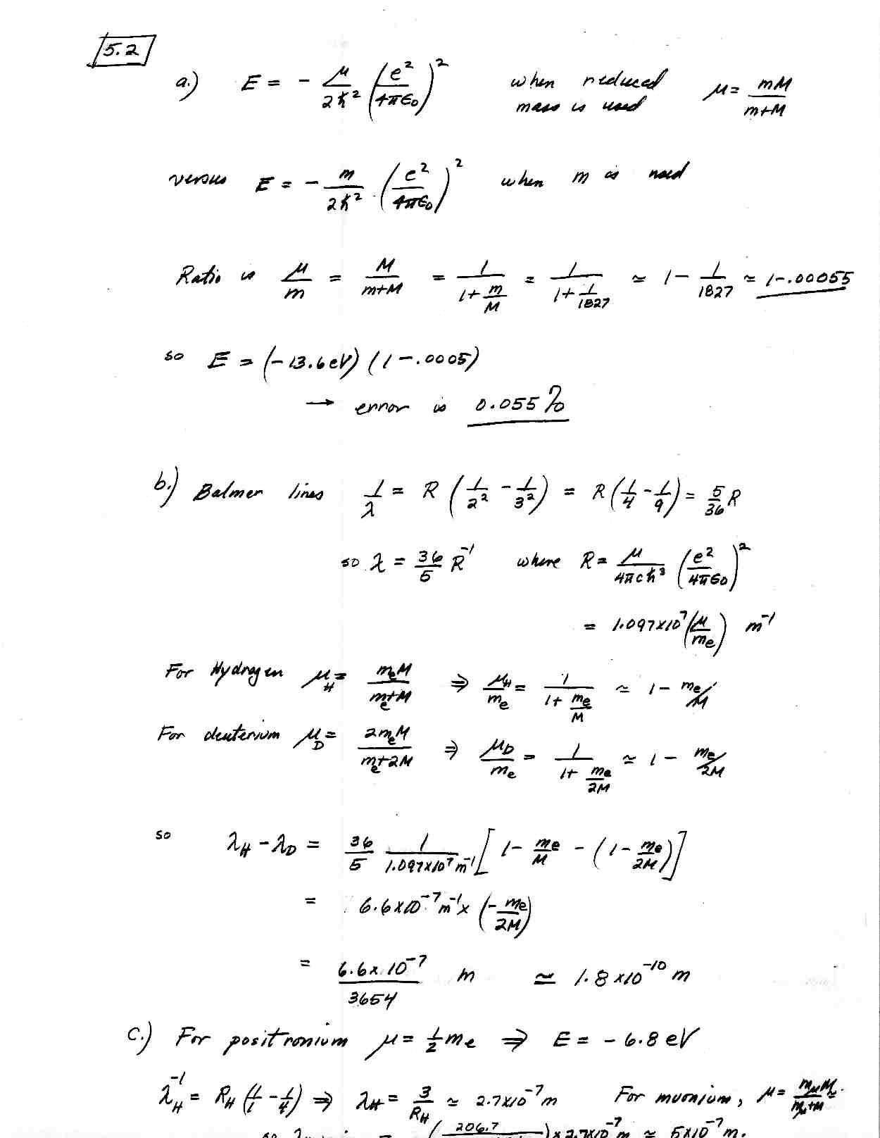
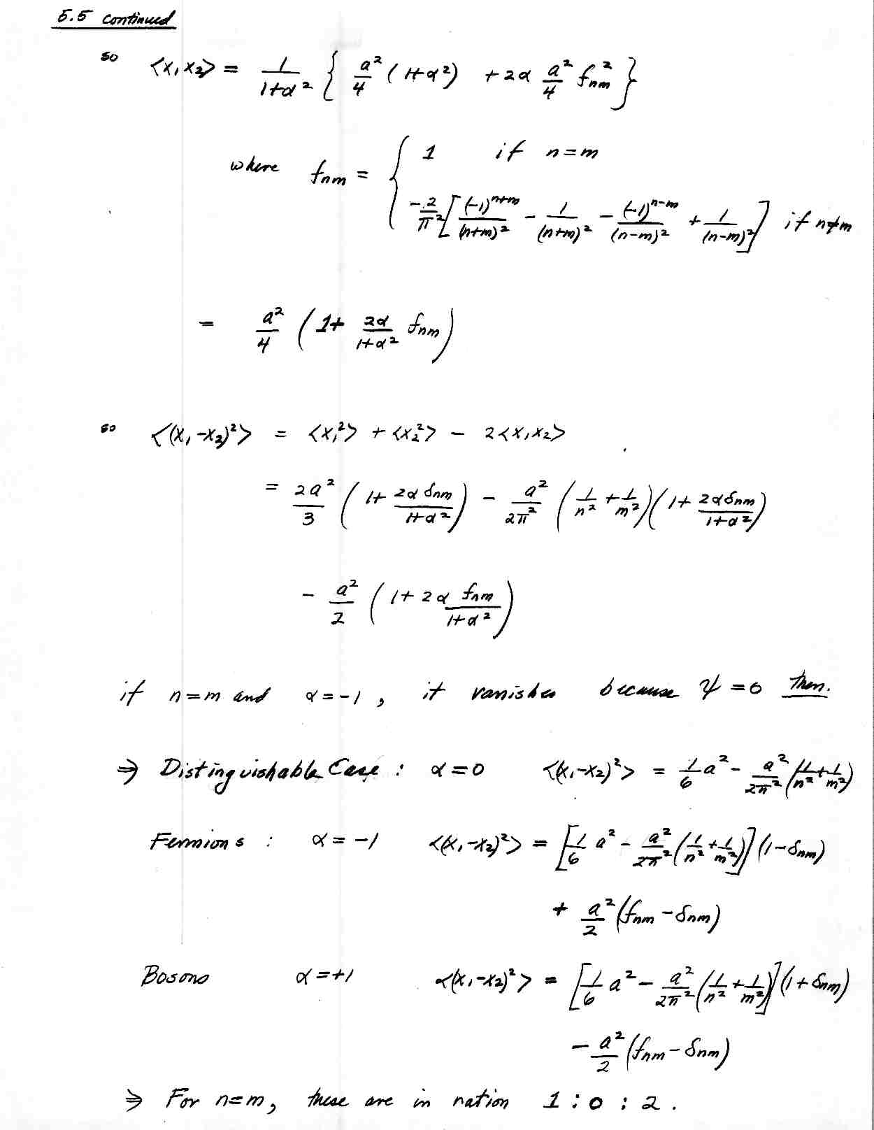
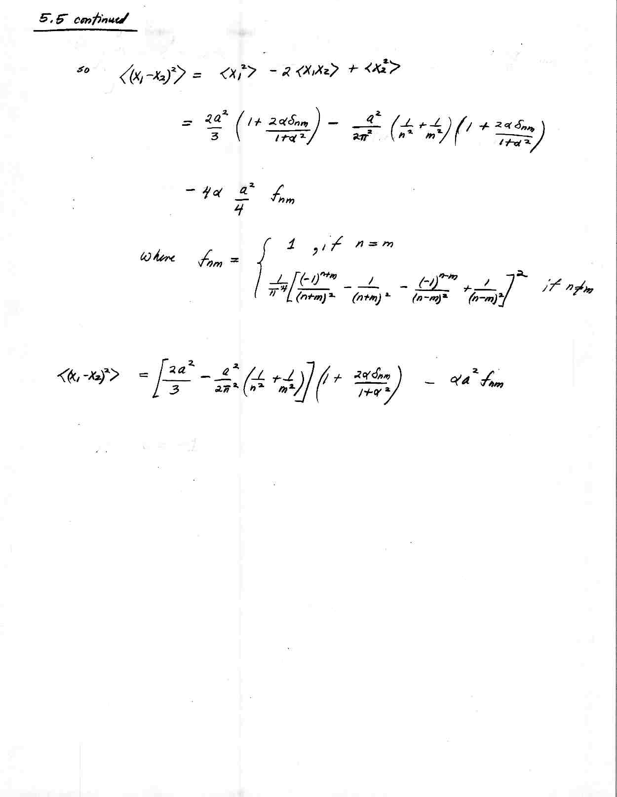
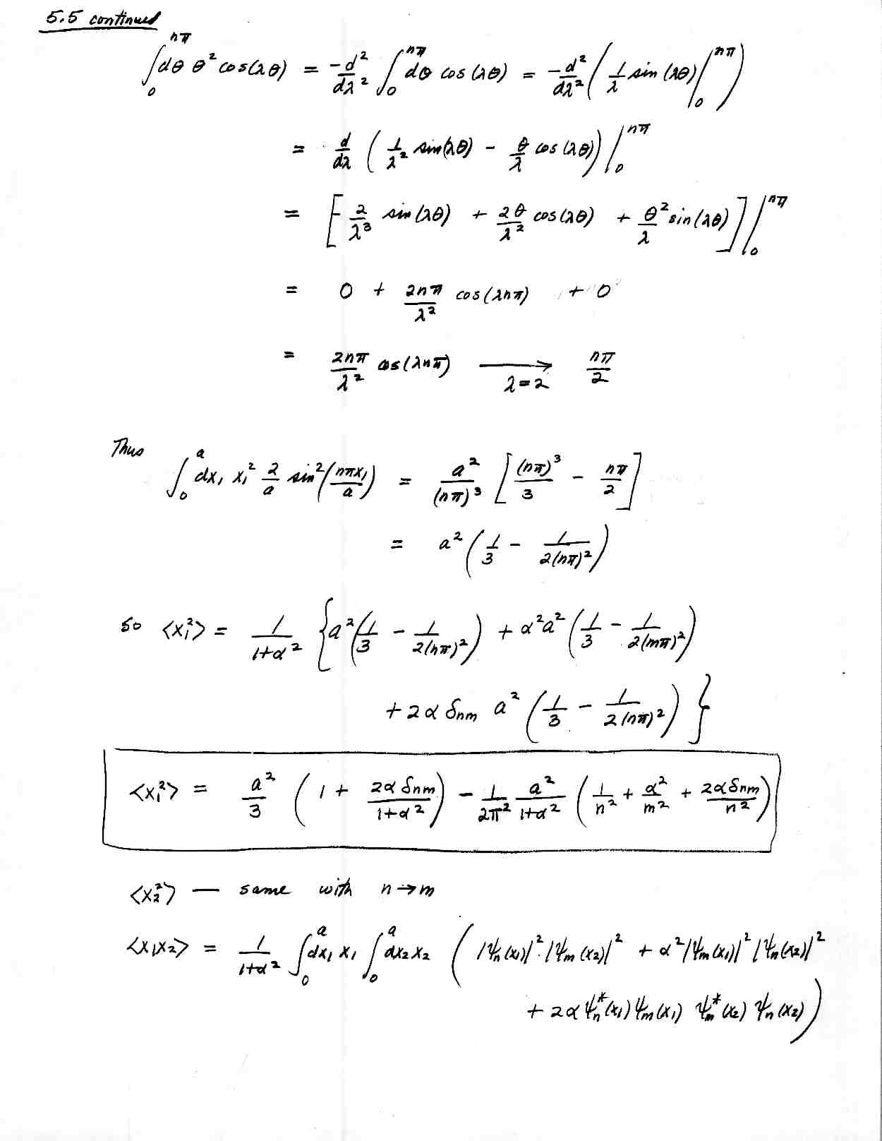
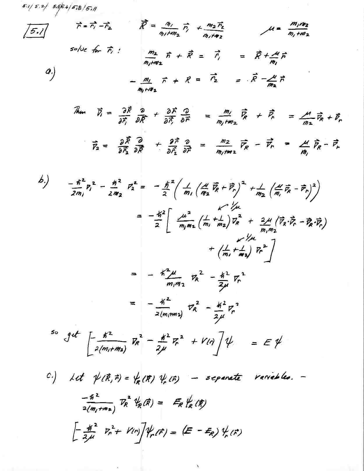
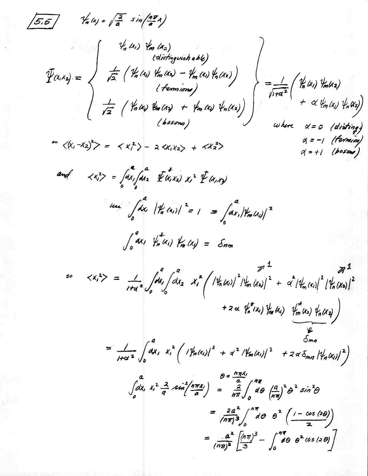
Homework Problems 5.1, 5.2, 5.5, 5.6, 5.8 and 5.11