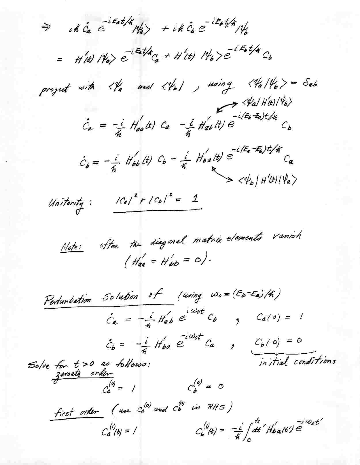
Lecture Notes Wednesday, 5/03/04

Page 1

 

Page 2