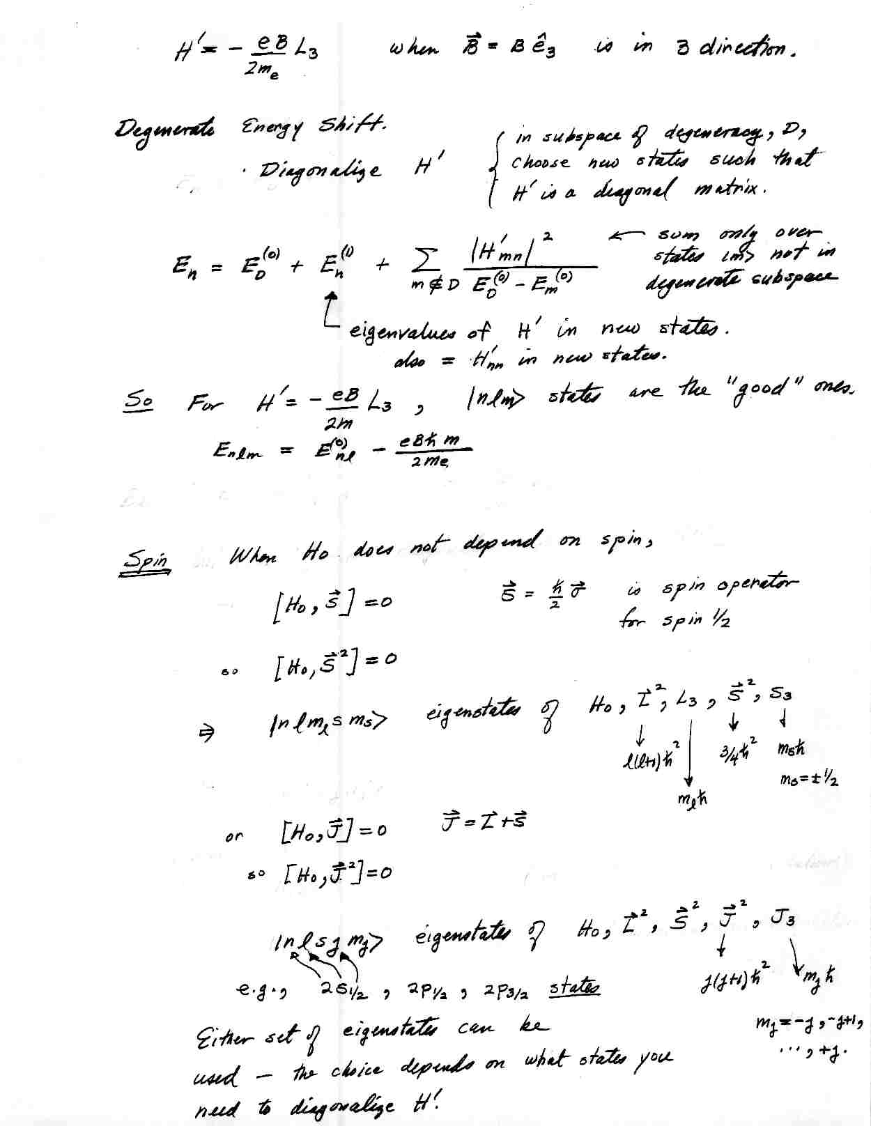
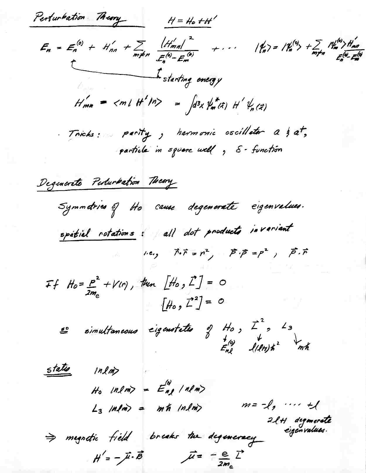
Lecture Notes Wednesday, 4/28/04

Page 1

 

Page 2

 

Page 3

 

Page 4

 

Page 5