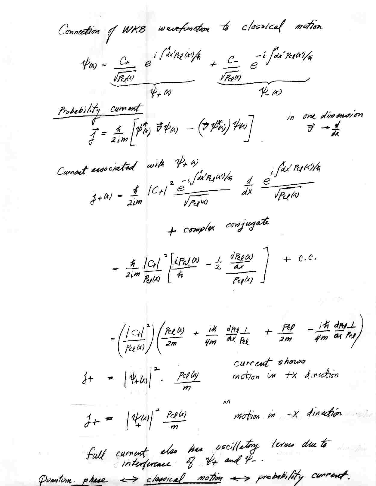
Lecture Notes Friday, 4/23/04

Page 1

 

Page 2