Lecture Notes Friday, 4/09/04

Page 1

 

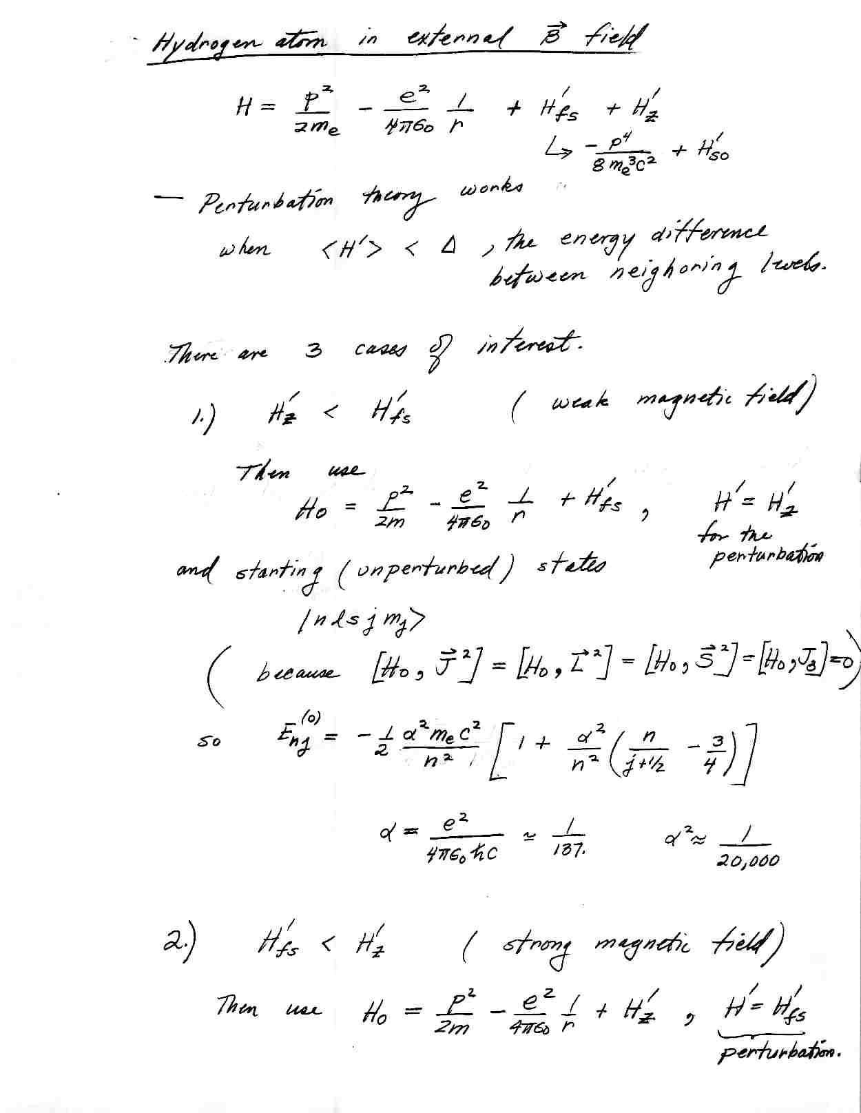
Page 2

 

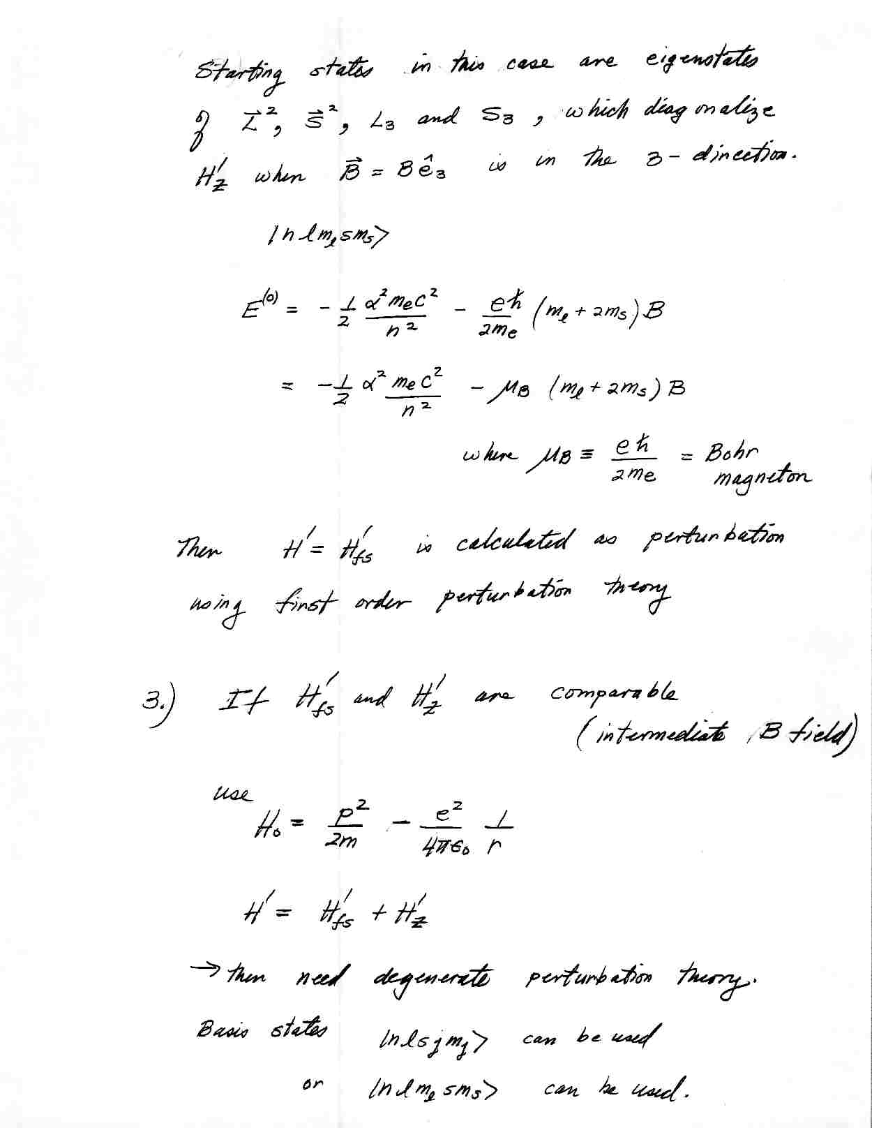
Page 3

 

Page 4