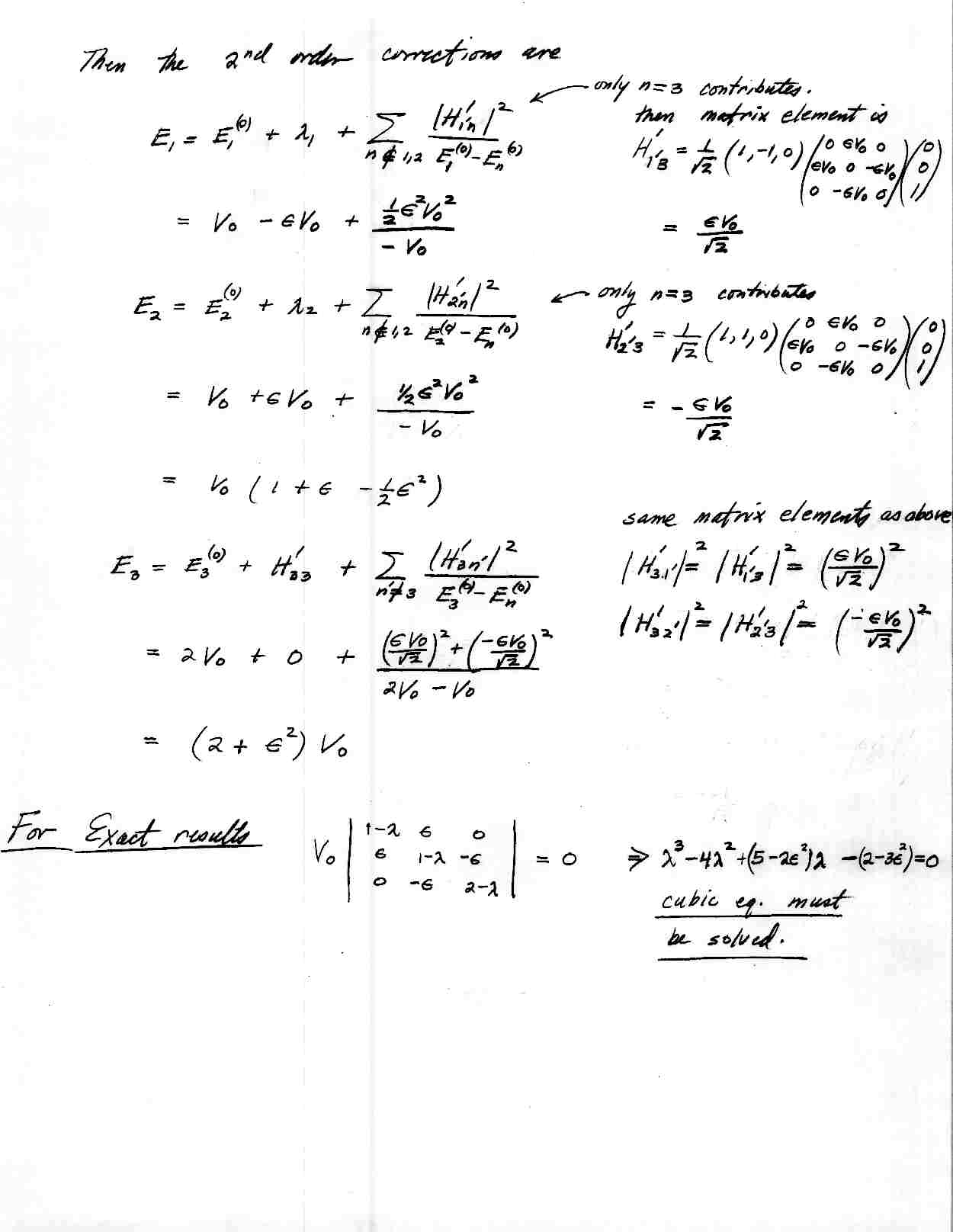
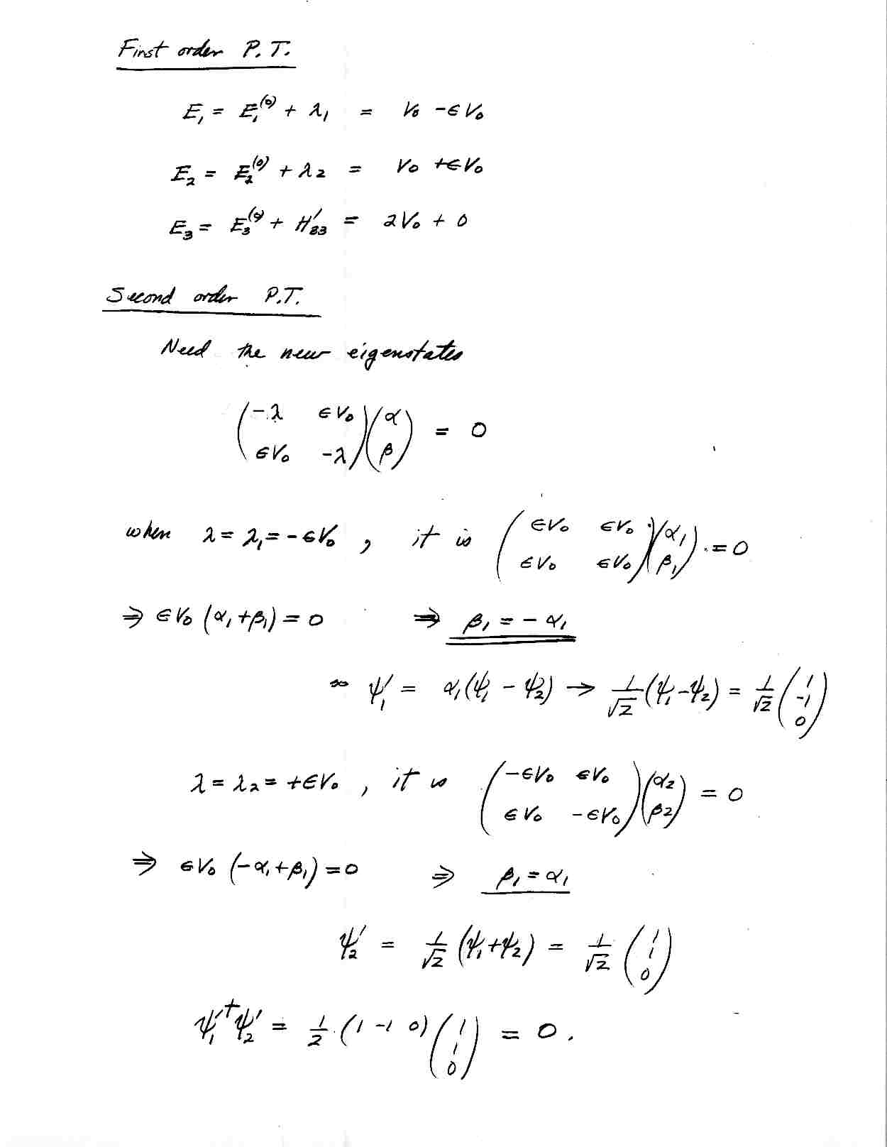
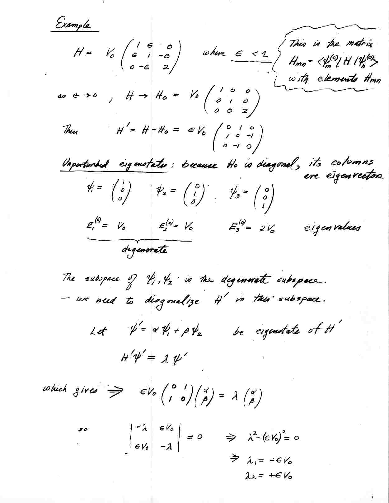
Lecture Notes Monday, 4/05/04

Page 1

 

Page 2

 

Page 3