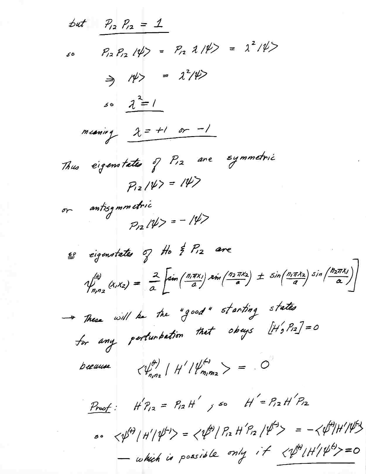
Lecture Notes Friday, 4/02/04

Page 1

 

Page 2

 

Page 3