Lecture Notes Monday, 3/29/04

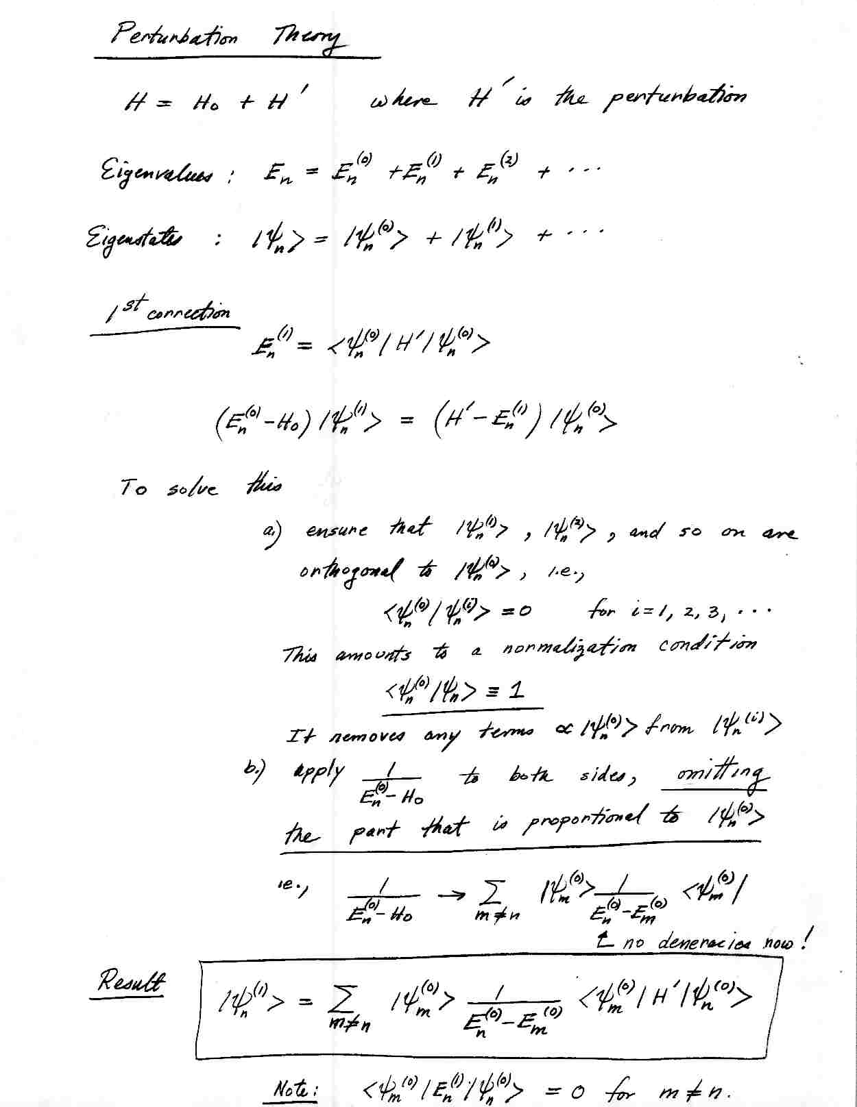
Page 1

 

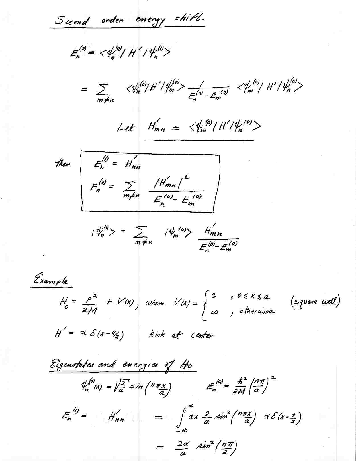
Page 2

 

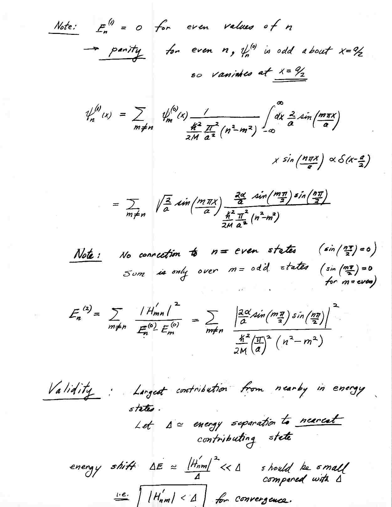
Page 3