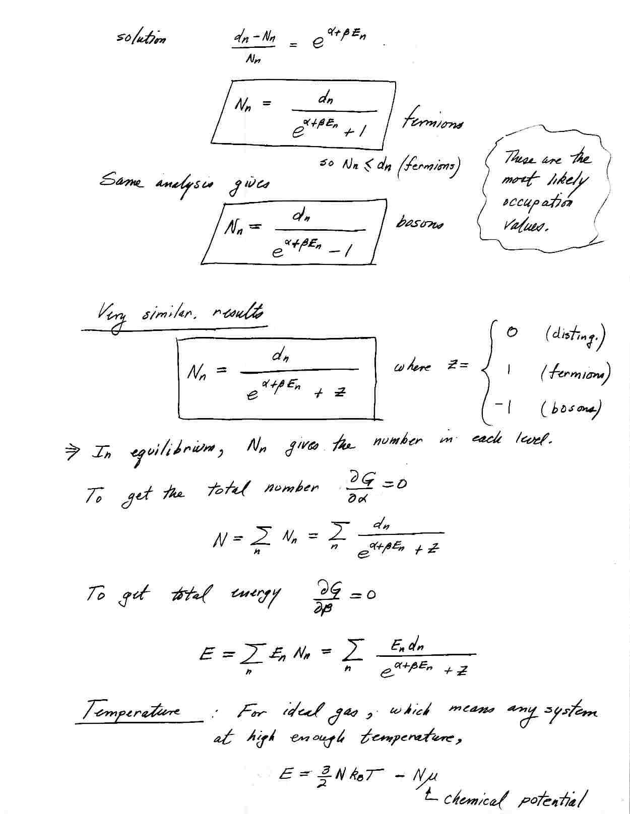
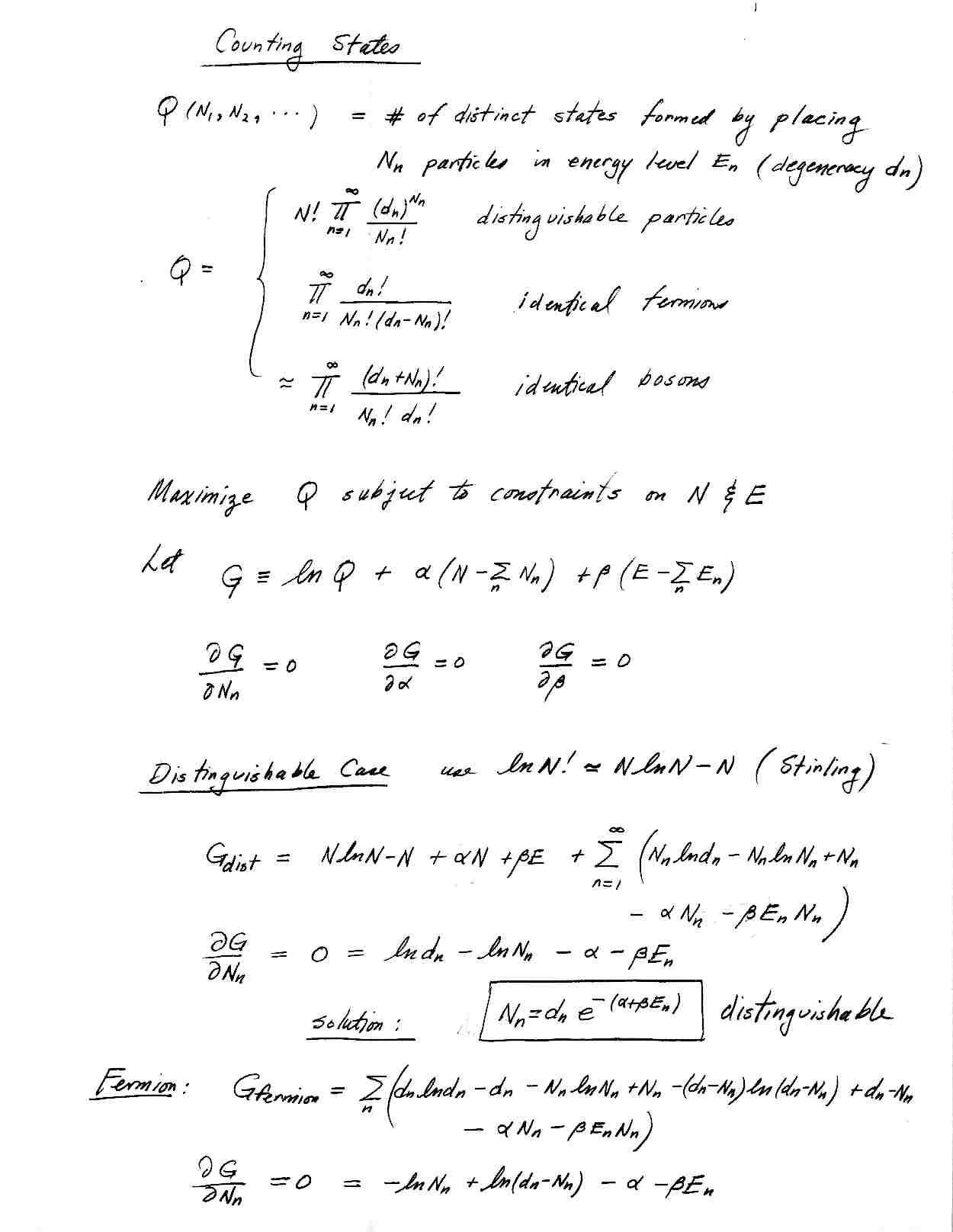
Lecture Notes Monday, 3/15/04

Page 1

 

Page 2