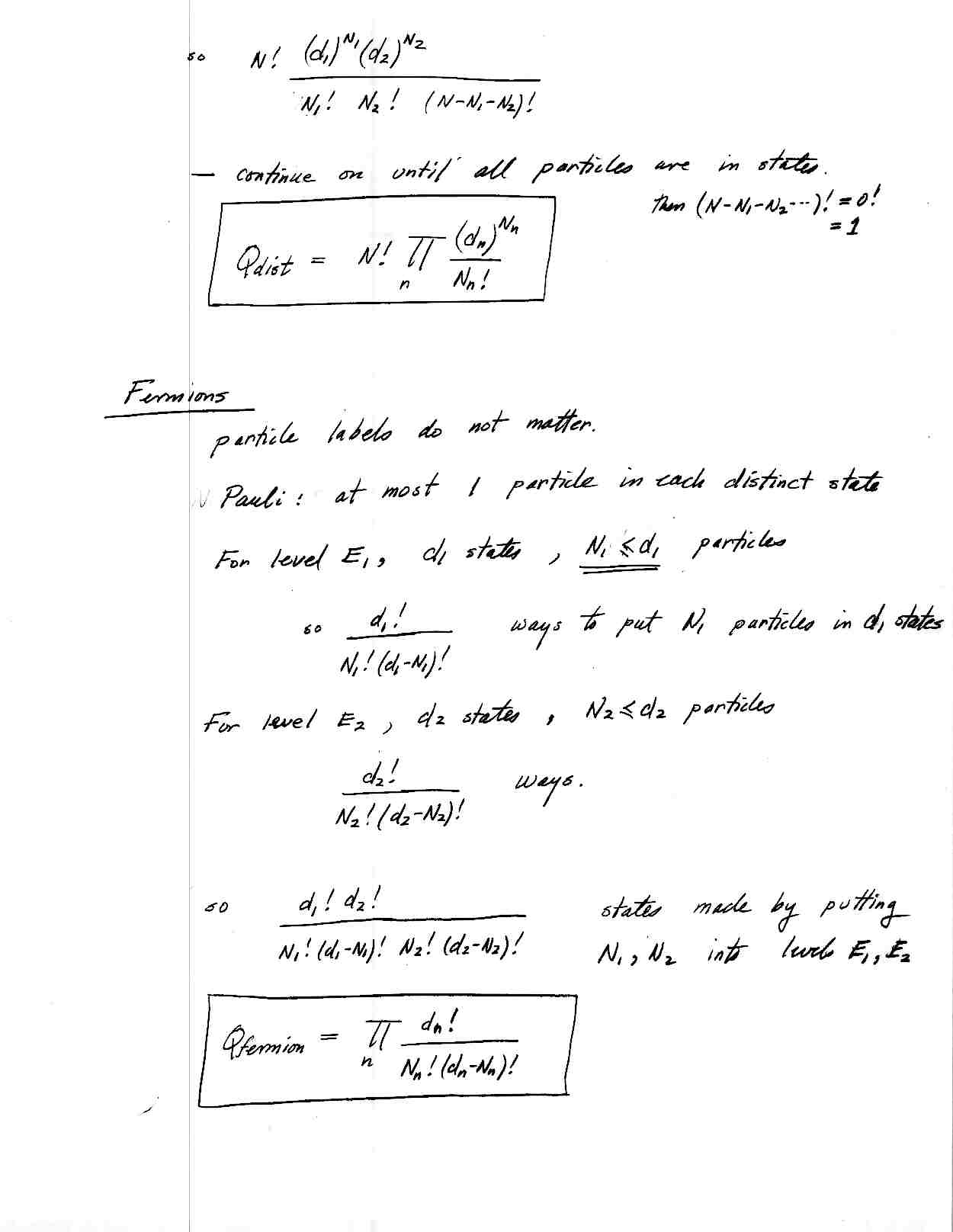
Lecture Notes Monday, 3/08/04

Page 1

 

Page 2

 

Page 3