Lecture Notes Wednesday, 2/10/04

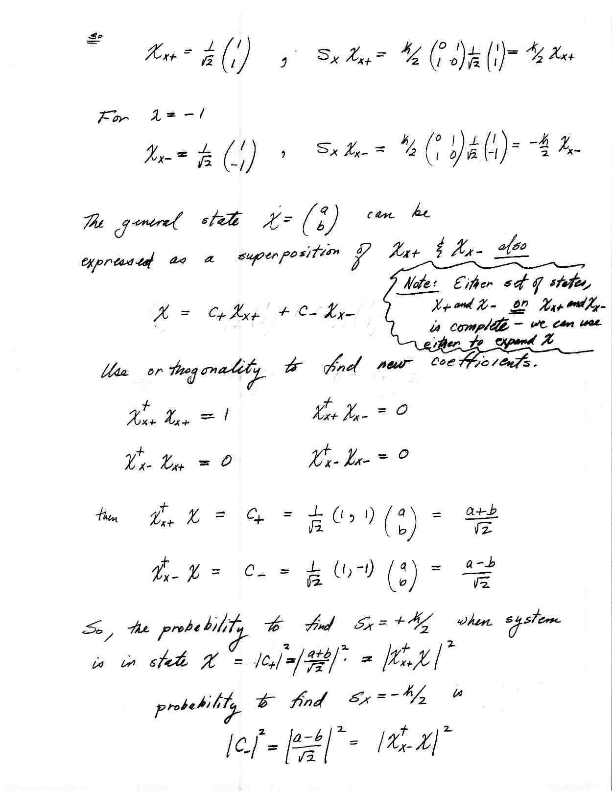
Page 1

 

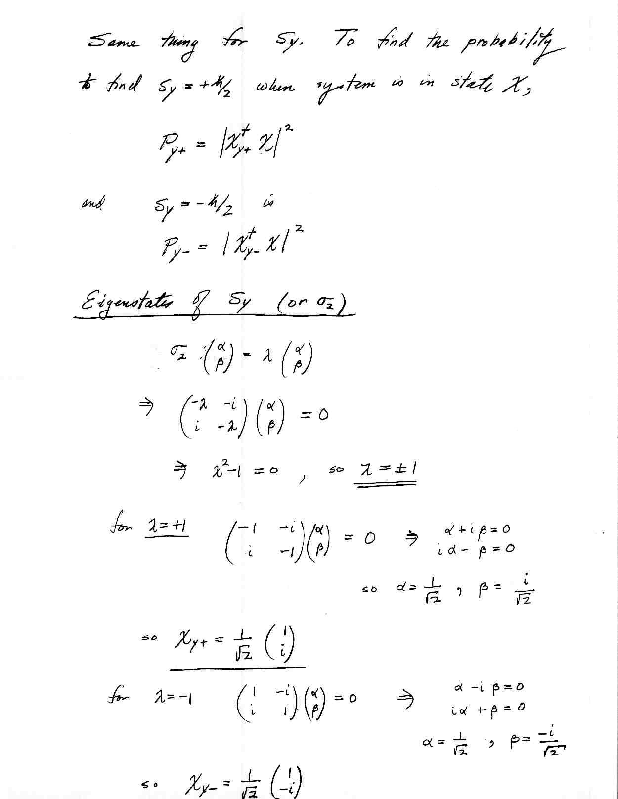
Page 2

 

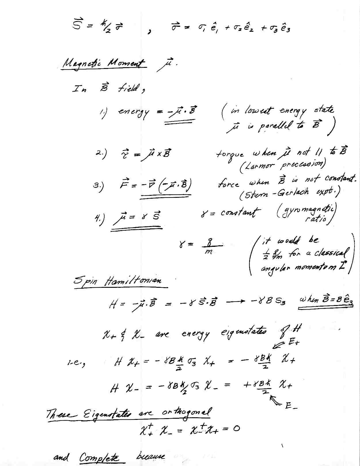
Page 3

 

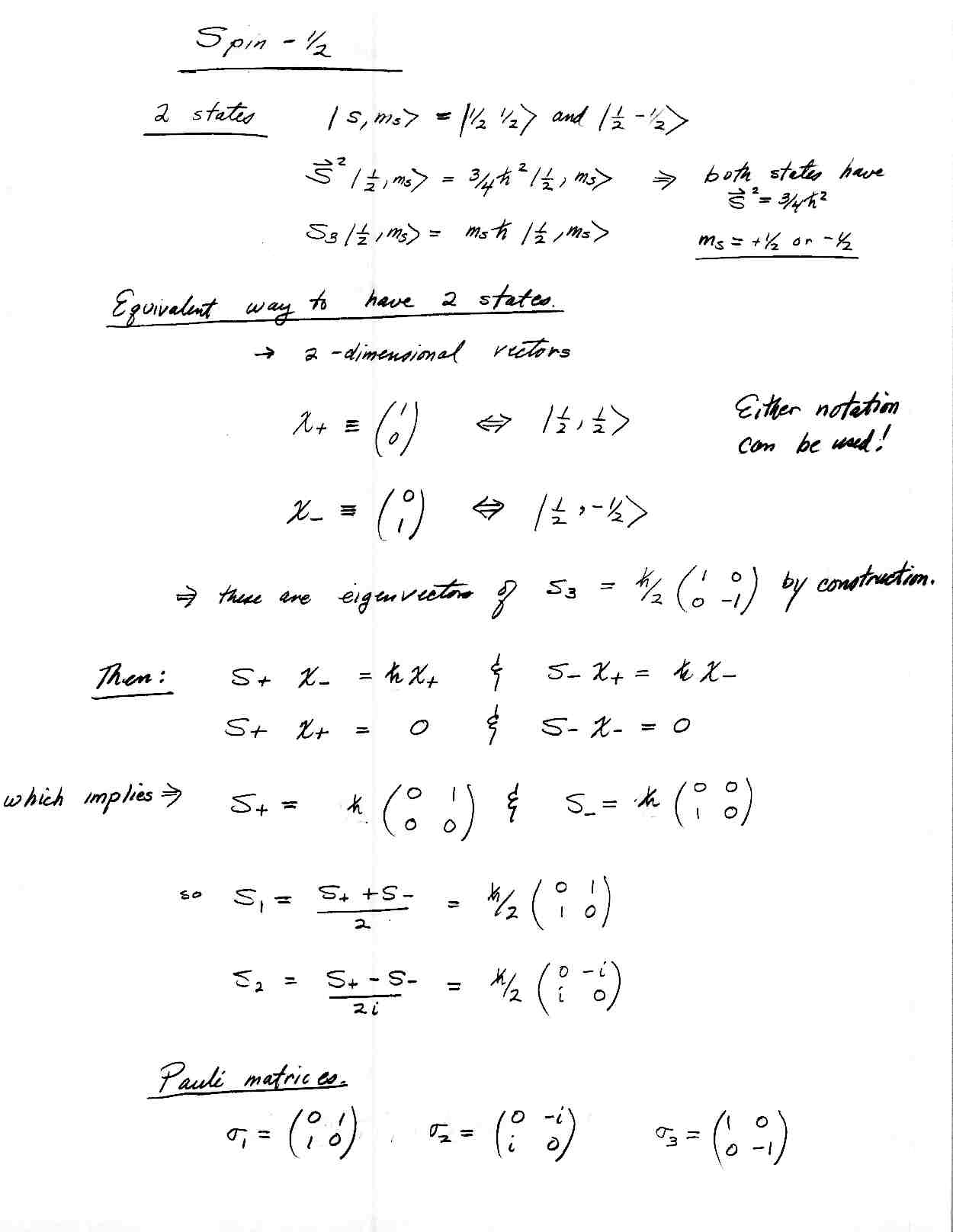
Page 4

 

Page 5

 

Page 6