Lecture Notes Monday, 2/02/04

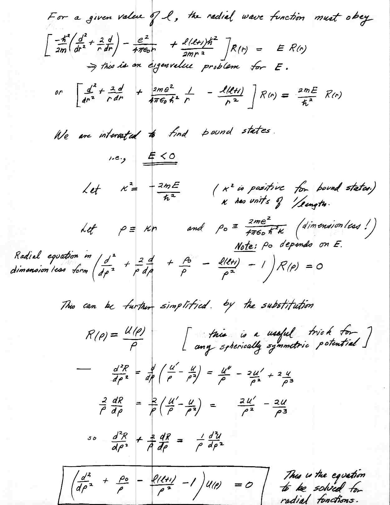
Page 1

 

Page 2

 

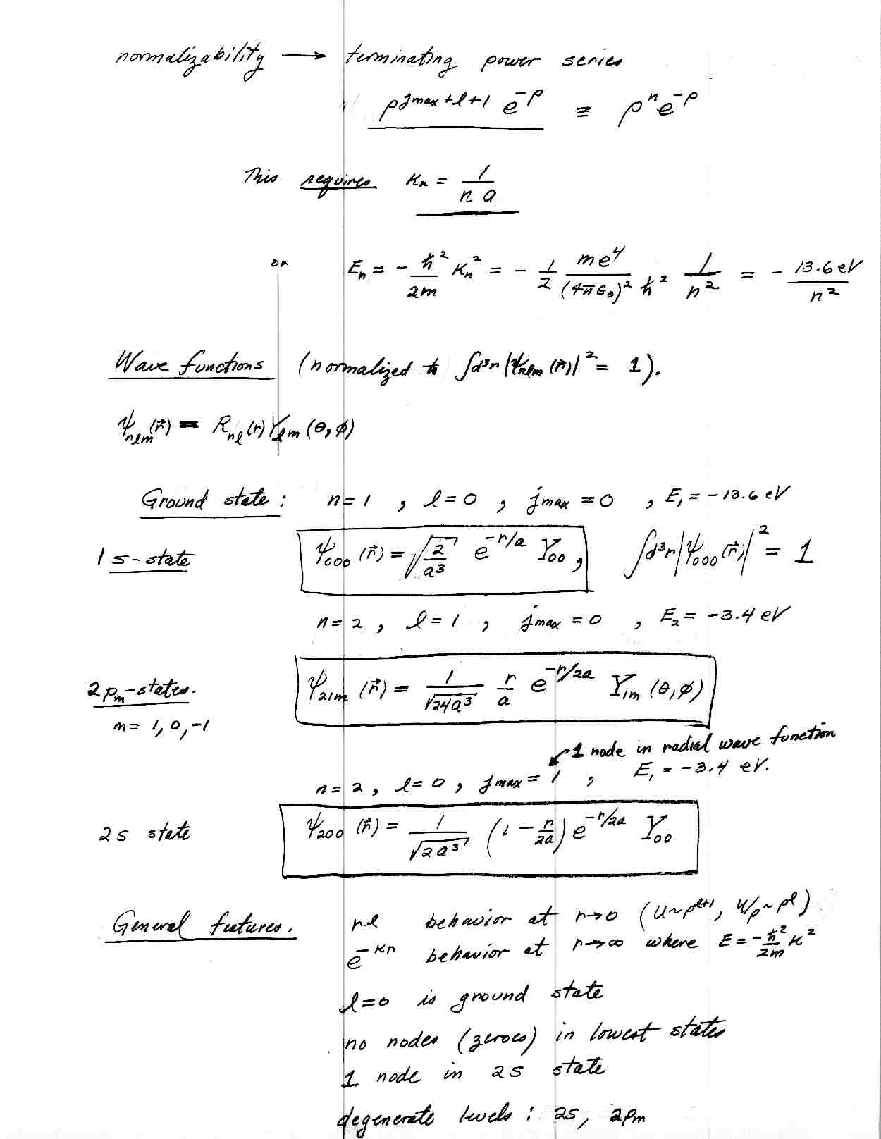
Page 3

 

Page 4

 

Page 5