Problems for
Intermediate Methods in Theoretical Physics

Edward F. Redish

Rotating a Coordinate System

In a 2-D Cartesian vector space the basis is expressed in Dirac notation as

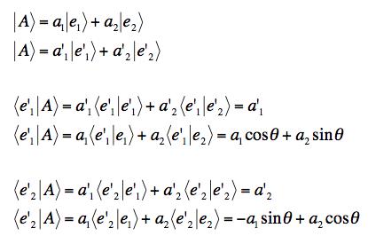
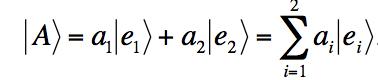
An arbitrary vector is expressed in this basis as

Suppose we consider a new basis rotated from the first by an angle θ as shown in the figure at the right:.

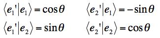
(a) Construct the 8 dot products

.

(b) Use the dot products you have constructed to express the coordinates of the vector |A> in the new basis, a1', a2', in terms of the old coordinates, a1, a2.

Solution

(a) The dot products are easily read off the graph. They are either a sine or a cosine and either positive or negative. The result for the first four is:

The result for the transposes of these is the same since <e'i|ej> = <ej|e'i>*. Since they are all real the transposes of the dot products are the same.

(b) Writing |A> in two ways and taking the dot product of both equations with the primed basis states we get the results

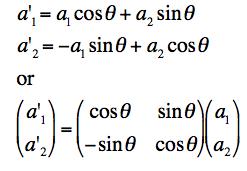
Therefore we can conclude


RETURNS

University of MarylandPhysics DepartmentPhysics 374 Home


This page prepared by

Edward F. Redish
Department of Physics
University of Maryland
College Park, MD 20742
Phone: (301) 405-6120
Email: redish@umd.edu

Last revision 15. November, 2005.