![]() |
Problems for |
For what values of θ is an approximation of O(θ) good for these functions? an approximation of O(θ3)?
Solution
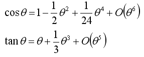
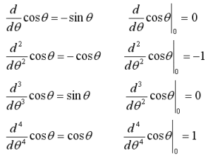
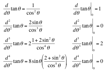
To get the Taylor series for a function we need its derivatives. These are:
so the Taylor series for the two functions are:

The accuracy of the one-term and two-term Taylor series approximations are shown in the figures below.
so the Taylor series for the two functions are:


The constant approximation for cos is within 5% out to about 0.3 rad (almost 20o!) and within 10% out to about 0.5 rad.
The two term series for cos is within 1% to about 0.65 rad and within 10% out to about 1.0 rad.
The three term series for cos is within 1% out to almost 1.2 radians.
The linear term for tan is within 1% to about 0.65 rad and within 10% out to about 0.55 rad.
The two term series for tan is within 1% to about 0.53 rad and within 10% out to about 0.9 rad.
| University of Maryland | Physics Department | Physics 374 Home |
|---|---|---|
![]() |
![]() |
![]() |
Last revision 16. September, 2005.