![]() |
Problems for |
Solution
(a) The viscous drag coefficient, b, when multiplied by a speed, v, gives a quantity with dimensions of force. Therefore, b must have the same dimensions as force/velocity.
(b)
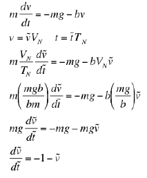
dv/dt = (1/m) (-mg - bv)
dv/dt = -g - (b/m) v.
(c) We have three parameters with the following dimensions: [m] = M, [g] = L/T2, [b] = M/T. When we multiply these together with arbitrary powers, we get a quantity with the following dimensions.
If we want a quantity with a dimension of mass, we need to choose the equations
This has the obvious solution y=0 ⇒ z=0 ⇒ x=1 so our quantity for mass is just m. (This one was obvious.)
If we want a quantity with a dimension of length, we need to choose the equations
These have the (less obvious) solution y=1 ⇒ z=-2 ⇒ x=2 so we get:
If we want a quantity with a dimension of time, we need to choose the equations
These have the solution y=0 ⇒ z=-1 ⇒ x=1 so we get:
(d) The natural velocity is just the ratio:
To see what this means physically, we note that
When this happens, we note that the net force vanishes. At this velocity, the force of air resistance is exactly equal to that of gravity. If the velocity were in the same direction as gravity, the forces would cancel and the object would continue at that velocity without change. This velocity is therefore the terminal speed. (What happens if the object is going upward with this speed?)
(e) We begin by replacing the dimensioned variables, v and t by their dimensionless counterparts. We then express the natural velocity and time in terms of the problems parameters and simplify. In the end, all the parameters cancel out and we are left with a dimensionless equation.

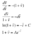
(f) To solve this, we separate variables and integrate.

Here, we have express the exponential of the integration constant, C, as A. Since C is arbitrary (i.e., unknown at this point) it doesn't matter.
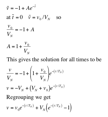
(g) Solving for the particular value of the constant A when the initial velocity is known, we can then find the particular solution, go back to the dimensioned form, and regroup for purposes of interpretation.

We can see that this solution makes sense. Initially, at t = 0, the exponentials become 1, so the first term is just v0 and the second term vanishes. As time gets large, the exponentials become 0, so the first term vanishes and the second term becomes -VN, the natural (=terminal) velocity in the downward direction. Notice this happens whether you throw the object up initially (v0 > 0), down initially (v0 < 0), or just drop it (v0 = 0).
| University of Maryland | Physics Department | Physics 374 Home |
|---|---|---|
![]() |
![]() |
![]() |
Last revision 16. September, 2004.