Problems for
Intermediate Methods in Theoretical Physics

Edward F. Redish

The Lottke-Volterra Equations

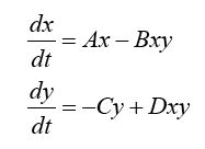
The pair of coupled ODEs

is referred to as the Lotka-Volterra equation and is supposed to represent the evolution of the populations of a predator and its prey as a function of time. (A, B, C, D are positive constants.)

(a) Which of the variables, x or y, represents the predator? Which represents the prey? What reasons do you have for your choice?

(b) What do the parameters A, B, C, and D represent? Why do you say so?

(c) Are there values for the populations that would lead to a stable solution for both groups?


This page prepared by

Edward F. Redish
Department of Physics
University of Maryland
College Park, MD 20742
Phone: (301) 405-6120
Email: redish@umd.edu

Last revision 27. December, 2010.