![]() |
|
(a) Explain what is meant by a function of two variables x and y being analytic and discuss why we might want to work with such functions.
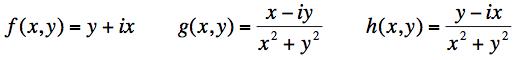
(b) Consider the following three functions of the two variables x and y and determine which of them are analytic when considered as functions of z = x + iy.

Demonstrate your conclusions in two ways: by using the Cauchy-Riemann equations and by rewriting them as a function of z and z*.
(c) Are these three functions all analytic everywhere in the x-y plane? If not, specify where they are and where they are not.
Last revision 7. December, 2005.