![]() |
|
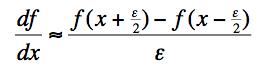
(a) When calculating the derivative of a function as an approximation numercially, it is convenient to express the derivative in a symmetric way:

The derivative is defined as the limit of the right hand side above as ε approaches 0. Demonstrate that this is correct to O(ε2) using the Taylor series and show what it means graphically in terms of the slope of the tangent to the curve.
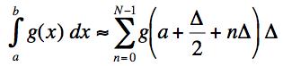
(b) The integral of the function f is defined as the limit of the Riemann sum:

where Δ = (b-a)/N. The integral is defined as the limit of the right hand side above as N approaches infinity. Give a graphical interpretation of this result explaining why the argument of the g on the right is what it is.
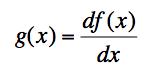
(c) Combine these two results by considering the integral of the function

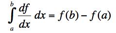
and using the approximation for the derivative with ε = Δ. Demonstrate the result (the fundamental theorem of calculus)
.
Last revision 28. November, 2005.