Problems for
Intermediate Methods in Theoretical Physics

Edward F. Redish

Rotating a coordinate system in Dirac notation

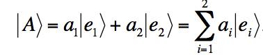
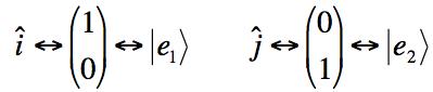
In a 2-D Cartesian vector space the basis is expressed in Dirac notation as

An arbitrary vector is expressed in this basis as

Suppose we consider a new basis rotated from the first by an angle θ as shown in the figure at the right:.

(a) Construct the 8 dot products

.

(b) Use the dot products you have constructed to express the coordinates of the vector |A> in the new basis, a1', a2', in terms of the old coordinates, a1, a2.


This page prepared by

Edward F. Redish
Department of Physics
University of Maryland
College Park, MD 20742
Phone: (301) 405-6120
Email: redish@umd.edu

Last revision 28. November, 2005.