|  | 
 | 
Consider the space of functions of the form

Let's create an orthonormal basis for this space.
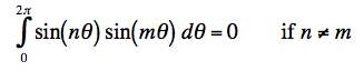
(a) First, demonstrate that the functions sin nθ form an orthonormal set; that is, prove that

(b) Next, find constants An such that if we define basis functions en = An sin(nθ) then
 .
.
Last revision 28. October, 2005.