Problems for
Intermediate Methods in Theoretical Physics

Edward F. Redish

Physics Jeopardy

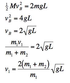
When I came into the seminar room across the hall for my office for a meeting last night, I found the set of equations at the right on the white board. After a short consideration, I decided I knew what problem they were solving.

Write a physics problem for which the equations at the right could form a reasonable solution. Be sure that you write the full problem, identifying all the symbols that appear in the answer (the last line). They should be natural labels, not contorted. (For example: It would NOT be natural to say: "An object falls a distance 2L." Why should that distance be labeled "2L" rather than "L"?)


This page prepared by

Edward F. Redish
Department of Physics
University of Maryland
College Park, MD 20742
Phone: (301) 405-6120
Email: redish@umd.edu

Last revision 28. October, 2005.