Problems for
Intermediate Methods in Theoretical Physics

Edward F. Redish

Fluid Shear

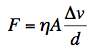
When we were considering the kind of resistance a fluid can exert on an object moving in it, we considered the force linear in velocity, the viscous force. In fluid flow, the viscosity is a kind of internal friction. If we consider two neighboring sheets of fluid (don’t worry too much about how to define this precisely) moving with different velocities as in the figure at the right, then each sheet will exert a force on the other of magnitude

where A is the area of the sheets Δv the difference between their velocities, and d the distance between them. The constant η is known as the viscosity. If you have a fluid of density ρ flowing through a pipe of diameter D, you can create a natural velocity for the system from ρ, D, and η. Find it using dimensional analysis.


This page prepared by

Edward F. Redish
Department of Physics
University of Maryland
College Park, MD 20742
Phone: (301) 405-6120
Email: redish@umd.edu

Last revision 28. September, 2005.