Problems for
Intermediate Methods in Theoretical Physics

Edward F. Redish

The divergence

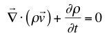
The differential form of the mass conservation theorem states

.

(a) By using a small cube centered on a point (x, y, z) of dimensions (Δx, Δy, Δz), explain what this theorem says about the matter in and around the cube and what you can say about how it is moving through the various sides of the cube. Be explicit in showing the relation between your statements and the mathematical expresions.

(b) For an arbitrary vector field (about which you know nothing except that it is continuous and differentiable) describe in words what the value of the divergence of the field at a point (x, y, z),

,

is telling you about the field.


This page prepared by

Edward F. Redish
Department of Physics
University of Maryland
College Park, MD 20742
Phone: (301) 405-6120
Email: redish@umd.edu

Last revision 28. December, 2010.