 |
Problems for
Intermediate Methods in Theoretical Physics
Edward F. Redish
|
Solving the Wave Equation
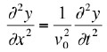
Consider the wave equation
for the transverse displacement of a taut elastic string. The
equation for the displacement, y,
of a bit of string at the point x at
time t, y(x,t) is
usually written
(a) Change the variables in
the equation from x, t to ξ, η ("xi"
and "eta") where
ξ = x - v0t
η = x + v0t
(b) Show that any arbitrary pair of functions (as long as they have two well-defined
derivatives) f and g lead to a solution of the wave equation
y(ξ, η) = f(ξ) + g(η)
(c) Rewrite y of
the solution in part (b) as a function of x and t.
Interpret f and g physically,
explaining why you interpet them as you do.
This page prepared by
Edward F. Redish
Department of Physics
University of Maryland
College Park, MD 20742
Phone: (301) 405-6120
Email: redish@umd.edu
Last revision 7. November, 2005.