 |
Problems for
Intermediate Methods in Theoretical Physics
Edward F. Redish
|
Orbital
Oscillations: 2
In a previous
problem, we
considered the radial motion of a planet in orbit around a star. After eliminating
the angular variables, the equation of motion for the radial distance involves
an effective radial potential,
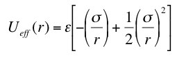
where m is the mass of the planet, M is the mass of the star, G is Newton's universal gravitational constant, and L is the planet's orbital angular momentum. It was then claimed that this equation could be reduced to the dimensionally more convenient form
where ε is an energy and σ is a distance. Show that this is the case by finding the explicit form of ε and σ expressed
in terms of the original parameters of the problem.
This page prepared by
Edward F. Redish
Department of Physics
University of Maryland
College Park, MD 20742
Phone: (301) 405-6120
Email: redish@umd.edu
Last revision 14. October, 2004.