 |
Problems for
Intermediate Methods in Theoretical Physics
Edward F. Redish
|
Rotating coordinate axes
Once an origin and a coordinate system are chosen, a vector in two-space can be represented as
Alternatively, it can be represented as a column vector
- Discuss the advantages and disadvantages of the two representations.
- Suppose we choose a new coordinate axis, rotated compared to the first, by defining
.
We want to represent the vector in the new coordinate system thus:
Find how we should express the new coordinates, x' and y' in terms of the old coordinates, x and y and
the angle θ.
- Note that the new unit vectors can be expressed in term of the old unit vectors. The new coordinates can be expressed in terms of the old coordinates. Do they both change in the same way or is there a difference?
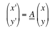
- Sometimes the transformation of the coordinates are represented by a matrix:
where A is a 2x2 matrix. Identify the matrix A in this case. Discuss the advantages and disadvantages of this representation.
This page prepared by
Edward F. Redish
Department of Physics
University of Maryland
College Park, MD 20742
Phone: (301) 405-6120
Email: redish@umd.edu
Last revision 6. September, 2004.