In 2004 the US Federal Budget was deeply in deficit, i.e., they were spending more money providing services than they were taking in taxes.
In one year, the deficit was approximately $500 Billion ($5.0 x 1011).
- Assuming this was divided equally to every man, woman, and child in the country, what would your share of this deficit have been?
- Supposing the deficit were paid in $1 bills and they were laid out on the ground without overlapping. Estimate what fraction of the District of Columbia could be covered.
- Suppose you put these $1 bills in packages of 100 each and gave them away at the rate of 1 package every 10 seconds. If you start now, when will you be finished giving them away?
- Are any of these calculations relevant for a discussion which is trying to understand whether the deficit is ridiculously large or appropriate in scale? Explain your reasoning.
Solution
- One of the numbers you are expected to know is the number of people in the US. This is, by the last census, about 280 million people. For these kinds of estimations we are only interested in orders of magnitude so we can round everything off to one digit. So lets take the number of people as 250 million or 2.5 x 108 people. So dividing the deficit by the number of people we get
About $2000 apiece.
- To do this, we need to know how big DC is and how big a dollar bill is. Checking out a map, I discover that DC is a square 10 miles on a side with a corner cut out. This means it has an area of about
or about 75 square miles. Using the first digit of my thumb (1 inch) and a dollar bill, I find its dimensions to be 6 inches by 2.5 inches. So it has an area of (6 in) x (2.5 in) = 15 in2.
We can do our calculation in a number of ways. We can ask: How many $1 bills does it take to cover DC and see if we have enough, or we could calculate the area of the deficit laid out in $1 bills and divide by the area of DC. I'll do the first. To cover DC by $1 bills we would have to divide its area up into $1 size pieces. The number of those pieces will be (75 mi2) / (15 in2). This is a pure number with no dimensions since we have dimensions of L2 on top and L2 on bottom. But to get to that number we have to make our units cancel. This means changing units to get them the same. The easiest way to do this is to multiply by "1" appropriately. Don't forget that mi2 means mi x mi so we need to cancel miles twice.

All the units cancel. In the last part, I have estimated 12 x 12 as 150 (a bit too big) and 5280 x 5280 as 5000 x 5000 or 25 million (a bit too small). The result is easier to calculate and pretty accurate. Since 5 times 150 is 750, the result is 7.5 x 0.25 x 1010 or about 2 x 1010. Just 20 billion. Since we have 500 billion, we could cover DC 25 times over!
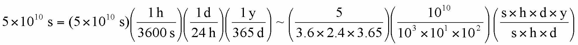
- This one is pretty easy if we use powers of 10 notation. We are giving away 102 bills every 10 seconds. We have a total of 5 x 1011 bills so we have (5 x 1011)/(102) = 5 x 109 packets. Each one takes 10 seconds to give away so it takes us (5 x 109) x 10 = 5 x 1010 second. How long is that? Let's use our unit change trick of multiplying by 1. (Saving a step by multiplying 60 second times 60 minutes to get 3600 seconds = 1 hour)
For making it easier to work with we have grouped the number parts together, the powers of 10 parts together, and the units parts together. The units all cancel except "y" (years). The number part is about 1/6, the power of 10 are 10(10-3-1-2) = 104 so our result is 104/6 y = 10,000/6 y = about 1600 years.
- Calculations (b) and (c) are kind of interesting, but only (a) is relevant. What the other two calculations are hiding is the fact that we are not only talking about a lot of money, we are talking about a lot of people and a big country. Is $2000 to much for you to borrow to have to pay back (with interest) in a few years or for your children to pay back? Then you can rationally consider what you are getting and what it's worth to you. If anyone tries to use numbers like the other two to impress you with what a huge deficit we have, they are just trying to play on what they believe is you ignorance in being able to handle large numbers. Politicians of all kinds often try to pull this. Watch out and do the right calculations for yourself!